XPC 抗体 (AA 734-933)
Our Local Distributor
北京 101111
Quick Overview for XPC 抗体 (AA 734-933) (ABIN6992475)
抗原
See all XPC 抗体适用
宿主
克隆类型
标记
应用范围
-
-
抗原表位
- AA 734-933
-
原理
- Anti-Xeroderma Pigmentosum, Complementation Group C (XPC) Polyclonal Antibody
-
纯化方法
- Antigen-specific affinity chromatography followed by Protein A affinity chromatography
-
免疫原
- Recombinant Xeroderma Pigmentosum, Complementation Group C (XPC) corresdonding to Glu734~Leu933 with N-terminal His Tag
-
亚型
- IgG
-
-
-
-
应用备注
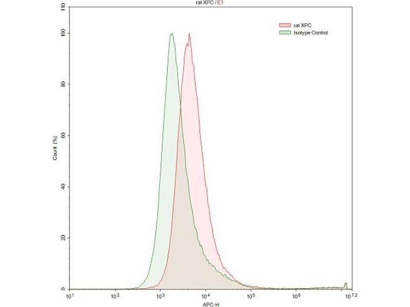
- For flow cytometry, the suggested use of this reagent is 1-5 μL per 10^6 cells in 100 μL volume. Optimal working dilutions could be determined by end user.
-
限制
- 仅限研究用
-
-
-
状态
- Liquid
-
缓冲液
- 0.01M PBS, pH 7.4, containing 0.05 % Proclin-300, 50 % glycerol.
-
储存液
- ProClin
-
注意事项
- This product contains ProClin: a POISONOUS AND HAZARDOUS SUBSTANCE which should be handled by trained staff only.
-
储存条件
- 4 °C,-20 °C
-
储存方法
- Store at 4°C for frequent use. Stored at -20°C in a manual defrost freezer for one year without detectable loss of activity. Avoid repeated freeze-thaw cycles.
-
有效期
- 12 months
-
-
- XPC (Xeroderma Pigmentosum, Complementation Group C (XPC))
-
别名
- Xeroderma Pigmentosum, Complementation Group C
-
背景
- XP-C, XP3, XPCC, RAD4, Xeroderma Pigmentosum Group C Protein, DNA repair protein complementing XP-C cells
-
UniProt
- D4A3D8
-
途径
- p53 Pathway, DNA Damage Repair
抗原
-