TNF alpha ELISA 试剂盒
Our Local Distributor
北京 101111
Quick Overview for TNF alpha ELISA 试剂盒 (ABIN5522444)
抗原
See all TNF alpha ELISA试剂盒适用
检测方法
实验类型
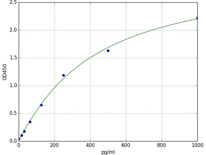
检测范围
应用范围
样品类型
-
-
最低检测浓度
- 7.813 pg/mL
-
原理
- For quantitative detection in serum, plasma, tissue homogenates and other biological fluids.
-
Analytical Method
- Quantitative
-
特异性
- TNFα(Tumor Necrosis Factor Alpha)/TNF-α/DIF/TNF-alpha/TNFA/TNFSF2
-
灵敏度
- 4.688 pg/mL
-
组件
-
- ELISA Microplate
- Lyophilized Standard
- Sample / Standard Dilution Buffer
- Biotin-labeled Antibody (Concentrated)
- Antibody Dilution Buffer
- HRP-Streptavidin Conjugate(SABC)
- SABC Dilution Buffer
- TMB Substrate
- Stop Solution
- Wash Buffer (25X)
- Plate Sealer
- Product Description
-
-
-
-
应用备注
- Optimal working dilution should be determined by the investigator.
-
说明
-
Sandwich ELISA, Double Antibody
-
样本量
- 100 μL
-
板类型
- Pre-coated
-
限制
- 仅限研究用
-
-
-
储存条件
- 4 °C
-
储存方法
- 4 °C for 6 months
-
有效期
- 6 months
-
-
- TNF alpha (Tumor Necrosis Factor alpha (TNF alpha))
-
别名
- TNF-alpha
-
背景
- TNFα(Tumor Necrosis Factor Alpha)/TNF-α/DIF/TNF-alpha/TNFA/TNFSF2
-
UniProt
- P04924
-
途径
- NF-kappaB Signaling, Apoptosis, Caspase Cascade in Apoptosis, TLR signaling, Cellular Response to Molecule of Bacterial Origin, Regulation of Leukocyte Mediated Immunity, Positive Regulation of Immune Effector Process, Production of Molecular Mediator of Immune Response, Positive Regulation of Endopeptidase Activity, Hepatitis C, Protein targeting to Nucleus, Inflammasome
抗原 See all TNF alpha ELISA试剂盒
-