电话:
+86 (0512) 65829739
传真:
+86 (010) 6788 5057
电子邮件:
orders@antibodies-online.cn

IL-3 Protein (His tag)

This Recombinant IL-3 protein is expressed in 大肠杆菌(E. Coli).
产品编号 ABIN7455672
发货至: 中国
Contact our Customer Service for availability and price in your country. Contact Info

Our Local Distributor

中国
北京 101111
No. 88 KeChuang 6th Street
Beijing Economic Technological Development Area
Room 801-803
4A Biotech Co.,Ltd.
Tel +86 (0512) 65829739 传真 +86 (010) 6788 5057

Quick Overview for IL-3 Protein (His tag) (ABIN7455672)

抗原

See all IL-3 蛋白
IL-3 (Interleukin 3 (IL-3))

蛋白类型

Recombinant

宿主

  • 22
  • 17
  • 5
  • 4
  • 2
  • 2
  • 1
  • 1
  • 1
  • 1
  • 1
  • 1

资源

  • 30
  • 7
  • 6
  • 3
  • 2
  • 2
  • 2
  • 1
  • 1
  • 1
  • 1
大肠杆菌(E. Coli)

应用范围

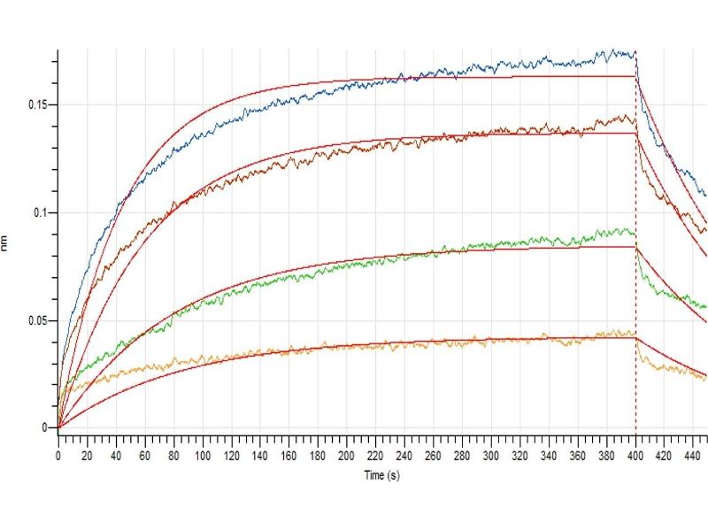
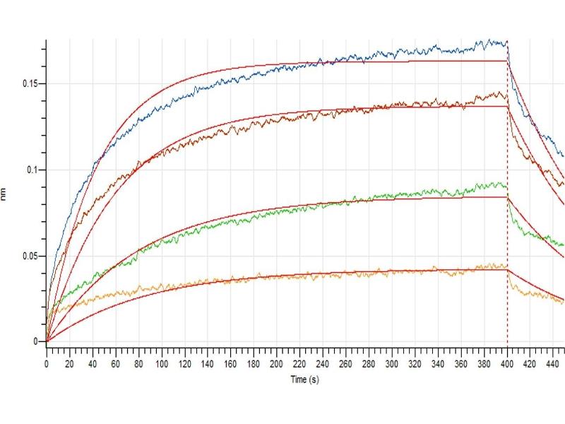
Affinity Measurement (AM), Antibody Drug Assay (ADA), Immunoassay (IA), Screening Assay (ScA)

纯度

Greater than 95 % as determined by reducing SDS-PAGE.
  • 标记

    This IL-3 protein is labelled with His tag.

    原理

    Recombinant Human Interleukin-3 is produced by our E.coli expression system and the target gene encoding Ala20-Phe152 is expressed with a 6His tag at the N-terminus.

    产品特性

    Extracellular Domain Protein

    纯化方法

    Affinity purification
  • 想要此Protein的其他选项吗?

    !
    探索我们的预定义定制蛋白和定制蛋白服务!

    您的项目需要进一步定制吗?联系我们,了解我们的定制蛋白解决方案

  • 应用备注

    Extracellular Domain Proteins (ECD) can be used as:
    • Immunogens for antibody drug development
    • Reagents used for CAR-T positive cell monitoring
    • Reagents for antibody screening and functional testing
    • Reagents for antibody affinity measurement

    限制

    仅限研究用
  • 状态

    Lyophilized

    缓冲液

    Lyophilized from a 0.2 μm filtered solution of PBS, pH 7.4.

    储存条件

    -20 °C,-80 °C

    储存方法

    Store at -20°C to -80°C for 12 months in lyophilized form. After reconstitution, if not intended for use within a month, aliquot and store at -80°C (Avoid repeated freezing and thawing). Lyophilized proteins are shipped at ambient temperature.

    有效期

    12 months
  • 抗原

    IL-3 (Interleukin 3 (IL-3))

    别名

    IL-3

    背景

    Interleukin-3,IL-3,Hematopoietic Growth Factor,Mast Cell Growth Factor,MCGF,Multipotential Colony-Stimulating Factor,P-Cell-Stimulating Factor,IL3
    Interleukin-3 (IL-3) is a potent growth promoting cytokine. IL-3 can stimulate the proliferation and differentiation of pluripotent hematopoietic stem cells as well as various lineage committed progenitors. IL-3 exerts its biological function through binding to specific cell surface receptors. The amino acid sequences of this protein among different species share relatively low identity and its activity is highly species-specific. IL-3 has also been shown to possess neurotrophic activity, and is thought to be associated with neurologic disorders.

    分子量

    16.6 KDa

    UniProt

    P08700

    途径

    JAK/STAT Signaling, Regulation of Carbohydrate Metabolic Process, Autophagy
You are here: