电话:
+86 (0512) 65829739
传真:
+86 (010) 6788 5057
电子邮件:
orders@antibodies-online.cn

ErbB2/Her2 ELISA 试剂盒

人 ErbB2/Her2 ELISA Kit, Colorimetric is an assay for quantification of 人 ErbB2/Her2.
产品编号 ABIN579058
发货至: 中国
Contact our Customer Service for availability and price in your country. Contact Info

Our Local Distributor

中国
北京 101111
No. 88 KeChuang 6th Street
Beijing Economic Technological Development Area
Room 801-803
4A Biotech Co.,Ltd.
Tel +86 (0512) 65829739 传真 +86 (010) 6788 5057

Quick Overview for ErbB2/Her2 ELISA 试剂盒 (ABIN579058)

抗原

See all ErbB2/Her2 ELISA试剂盒
ErbB2/Her2 (Receptor tyrosine-protein kinase erbB-2 (ErbB2/Her2))

抗原表位

Soluble

适用

  • 21
  • 10
  • 9
  • 1
  • 1

检测方法

Colorimetric

实验类型

Sandwich ELISA

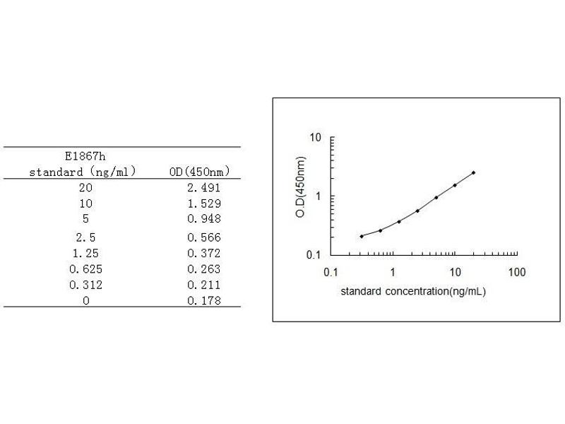
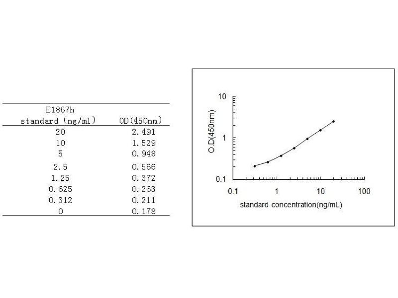
检测范围

0.312-20 ng/mL

应用范围

ELISA

样品类型

Cell Culture Supernatant, Plasma, Serum
  • 最低检测浓度

    0.312 ng/mL

    原理

    This immunoassay kit allows for the use in vitro quantitative determination of human soluble protein 185, sp185/HER-2 concentrations in cell culture supernates, serum, plasma and other biological fluids.

    Analytical Method

    Quantitative

    特异性

    This assay recognizes recombinant and natural human sp185/HER-2.

    交叉反应 (详细)

    No significant cross-reactivity or interference was observed.

    产品特性

    Homo sapiens,Human,Receptor tyrosine-protein kinase erbB-2,Metastatic lymph node gene 19 protein,MLN 19,Proto-oncogene Neu,Proto-oncogene c-ErbB-2,Tyrosine kinase-type cell surface receptor HER2,

    组件

    Reagent (Quantity):
    • Assay plate (1),
    • Standard (2),
    • Sample Diluent (1×20 mL),
    • Assay Diluent A (1×10 mL),
    • Assay Diluent B (1×10 mL),
    • Detection Reagent A (1×120 μL),
    • Detection Reagent B (1×120 μL),
    • Wash Buffer(25 x concentrate) (1×30 mL),
    • Substrate (1×10 mL),
    • 2 Stop Solution (1×10 mL),
    • Plate sealer for 96 wells (5),
    • Instruction (1)

    试剂未包括

    Microplate reader. Pipettes and pipette tips. EP tube Deionized or distilled water.
  • 样本量

    100 μL

    板类型

    Pre-coated

    实验流程

    The microtiter plate provided in this kit has been pre-coated with an antibody specific to sp185/HER-2. Standards or samples are then added to the appropriate microtiter plate wells with a biotin-conjugated polyclonal antibody preparation specific for sp185/HER-2 and Avidin conjugated to Horseradish Peroxidase (HRP) is added to each microplate well and incubated. Then a TMB (3,3'5, 5' tetramethyl-benzidine) substrate solution is added to each well. Only those wells that contain sp185/HER-2, biotin-conjugated antibody and enzyme-conjugated Avidin will exhibit a change in color. The enzyme-substrate reaction is terminated by the addition of a sulphuric acid solution and the color change is measured spectrophotometrically at a wavelength of 450 nm ± 2 nm. The concentration of sp185/HER-2 in the samples is then determined by comparing the O.D. of the samples to the standard curve.

    试剂准备

    Bring all reagents to room temperature before use. Wash Buffer - If crystals have formed in the concentrate, warm to room temperature and mix gently until the crystals have completely dissolved. Dilute 30 mL of Wash Buffer Concentrate into deionized or distilled water to prepare 750 mL of Wash Buffer. Standard - Reconstitute the Standard with 1.0 mL of Sample Diluent. This reconstitution produces a stock solution. Allow the standard to sit for a minimum of 15 minutes with gentle agitation prior to making serial dilutions (Making serial dilution in the wells directly is not permitted). The undiluted standard serves as the high standard. The Sample Diluent serves as the zero standard (0 ng/ml).

    样品收集

    Serum - Use a serum separator tube (SST) and allow samples to clot for 30 minutes before centrifugation for 15 minutes at approximately 1000 x g. Remove serum and assay immediately or aliquot and store samples at -20 °C or -80 °C. Plasma - Collect plasma using EDTA or heparin as an anticoagulant. Centrifuge samples for 15 minutes at 1000 x g at 2 - 8 °C within 30 minutes of collection. Store samples at -20 °C or -80 °C. Avoid repeated freeze-thaw cycles. Cell culture supernates and other biological fluids - Remove particulates by centrifugation and assay immediately or aliquot and store samples at -20 °C or -80 °C. Avoid repeated freeze-thaw cycles. Note: Serum, plasma, and cell culture supernatant samples to be used within 7 days may be stored at 2-8 °C, otherwise samples must stored at -20 °C (≤ 3 months) or -80 °C (≤ 6 months) to avoid loss of bioactivity and contamination. Avoid freeze-thaw cycles. When performing the assay slowly bring samples to room temperature. It is recommended that all samples be assayed in duplicate.

    实验流程

    Allow all reagents to reach room temperature (Please do not dissolve the reagents at 37 °C directly.). All the reagents should be mixed thoroughly by gently swirling before pipetting. Avoid foaming. Keep appropriate numbers of strips for 1 experiment and remove extra strips from microtiter plate. Removed strips should be resealed and stored at 4 °C until the kits expiry date. Prepare all reagents, working standards and samples as directed in the previous sections. Please predict the concentration before assaying. If values for these are not within the range of the standard curve, users must determine the optimal sample dilutions for their particular experiments.
    1. Add 100 μL of Standard, Blank, or Sample per well. Cover with the Plate sealer. Incubate for 2 hours at 37 °C .
    2. Remove the liquid of each well, don ’ t wash.
    3. Add 100 μL of Detection Reagent A working solution to each well. Cover with the Plate sealer. Incubate for 1 hour at 37 °C . Detection Reagent A working solution may appear cloudy. Warm to room temperature and mix gently until solution appears uniform.
    4. Aspirate each well and wash, repeating the process three times for a total of three washes. Wash by filling each well with Wash Buffer (approximately 400 μL) using a squirt bottle, multi-channel pipette, manifold dispenser or autowasher. Complete removal of liquid at each step is essential to good performance. After the last wash, remove any remaining Wash Buffer by aspirating or decanting. Invert the plate and blot it against clean paper towels.
    5. Add 100 μL of Detection Reagent B working solution to each well. Cover with a new Plate sealer. Incubate for 1 hours at 37 °C .
    6. Repeat the aspiration/wash as in step 4.
    7. Add 90 μL of Substrate Solution to each well. Cover with a new Plate sealer. Incubate within 30 minutes at 37 °C . Protect from light.
    8. Add 50 μL of Stop Solution to each well. If color change does not appear uniform, gently tap the plate to ensure thorough mixing.
    9. Determine the optical density of each well at once, using a microplate reader set to 450 nm.
    Important Note:
    1. Absorbance is a function of the incubation time. Therefore, prior to starting the assay it is recommended that all reagents should be freshly prepared prior to use and all required strip-wells are secured in the microtiter frame. This will ensure equal elapsed time for each pipetting step, without interruption.
    2. Please carefully reconstitute Standards or working Detection Reagent A and B according to the instruction, and avoid foaming and mix gently until the crystals have completely dissolved. The reconstituted Standards can be used only once. This assay requires pipetting of small volumes. To minimize imprecision caused by pipetting, ensure that pipettors are calibrated. It is recommended to suck more than 10 μ l for once pipetting.
    3. To ensure accurate results, proper adhesion of plate sealers during incubation steps is necessary. Do not allow wells to sit uncovered for extended periods between incubation steps. Once reagents have been added to the well strips, DO NOT let the 5 strips DRY at any time during the assay.
    4. For each step in the procedure, total dispensing time for addition of reagents to the assay plate should not exceed 10 minutes.
    5. To avoid cross-contamination, change pipette tips between additions of each standard level, between sample additions, and between reagent additions. Also, use separate reservoirs for each reagent.
    6. The wash procedure is critical. Insufficient washing will result in poor precision and falsely elevated absorbance readings.
    7. Duplication of all standards and specimens, although not required, is recommended.
    8. Substrate Solution is easily contaminated. Please protect it from light.

    结果分析

    Average the duplicate readings for each standard, control, and sample and subtract the average zero standard optical density. Create a standard curve by reducing the data using computer software capable of generating a four parameter logistic (4-PL) curve-fit. As an alternative, construct a standard curve by plotting the mean absorbance for each standard on the x-axis against the concentration on the y-axis and draw a best fit curve through the points on the graph. The data may be linearized by plotting the log of the SAA concentrations versus the log of the O.D. and the best fit line can be determined by regression analysis. It is recommended to use some related software to do this calculation, such as curve expert 13.0. This procedure will produce an adequate but less precise fit of the data. If samples have been diluted, the concentration read from the standard curve must be multiplied by the dilution factor.

    限制

    仅限研究用
  • 注意事项

    1. The kit should not be used beyond the expiration date on the kit label.
    2. Do not mix or substitute reagents with those from other lots or sources.
    3. If samples generate values higher than the highest standard, further dilute the samples with the Assay Diluent and repeat the assay. Any variation in standard diluent, operator, pipetting technique, washing technique,incubation time or temperature, and kit age can cause variation in binding.
    4. This assay is designed to eliminate interference by soluble receptors, ligands, binding proteins, and other factors present in biological samples. Until all factors have been tested in the Immunoassay, the possibility of interference cannot be excluded.
    3.

    储存条件

    4 °C/-20 °C

    储存方法

    The Assay Plate, Standard, Detection Reagent A and Detection Reagent B should be stored at -20°C upon being received. After receiving the kit , Substrate should be always stored at 4°C.
  • 抗原 See all ErbB2/Her2 ELISA试剂盒

    ErbB2/Her2 (Receptor tyrosine-protein kinase erbB-2 (ErbB2/Her2))

    别名

    ERBB2

    背景

    The human HER-2 (c-erbB-2, neu) gene encodes a putative transmembrane growth factor receptor (p185 protein) that is closely related to the epidermal growth factor receptor protein. The HER-2 gene product is a 185 kDa-glycoprotein that contains an extracellular ligandbinding domain and intracellular tyrosine kinase activity. p185HER-2 protein staining is observed only in low levels in epithelial cells of most organs in normal human tissues and at slightly higher levels in fetal tissues. Both HER-2 oncogene amplification and oncoprotein overexpression have been analyzed for potential utility in diagnostic and prognostic tests for: breast, ovarian, gastric, lung, and other cancers.In these malignancies the p185HER-2 oncoprotein overexpression is correlated with a poor prognosis. In 15-40 % of primary breast cancers, amplification of the HER-2 oncogen is found which is highly correlated with overexpression of the encoded 185 kDa protein and seems to play a major role especially during the initiation of ductal carcinomas. p185HER-2 overexpression is described as independent prognostic factor with greater predictive power than most of the currently used prognostic tools– especially in axillary lymph-node-positive breast cancer patients.

    基因ID

    3037

    途径

    RTK signaling, Fc-epsilon Receptor Signaling Pathway, EGFR Signaling Pathway, Neurotrophin Signaling Pathway, Skeletal Muscle Fiber Development
You are here: