电话:
+86 (0512) 65829739
传真:
+86 (010) 6788 5057
电子邮件:
orders@antibodies-online.cn

Histamine ELISA 试剂盒

The 小鼠 Histamine ELISA Kit (ABIN5524637) is a Colorimetric ELISA Kit designed to quantify 小鼠 Histamine.
产品编号 ABIN5524637
发货至: 中国
Contact our Customer Service for availability and price in your country. Contact Info

Our Local Distributor

中国
北京 101111
No. 88 KeChuang 6th Street
Beijing Economic Technological Development Area
Room 801-803
4A Biotech Co.,Ltd.
Tel +86 (0512) 65829739 传真 +86 (010) 6788 5057

Quick Overview for Histamine ELISA 试剂盒 (ABIN5524637)

抗原

See all Histamine (HIS) ELISA试剂盒
Histamine (HIS)

适用

  • 5
  • 4
  • 2
  • 2
  • 1
  • 1
  • 1
  • 1
  • 1
  • 1
  • 1
  • 1
  • 1
  • 1
小鼠

检测方法

Colorimetric

实验类型

Competition ELISA

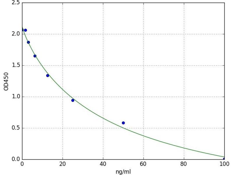
检测范围

1.56 ng/mL - 100 ng/mL

应用范围

ELISA

样品类型

Plasma, Serum, Tissue Homogenate
  • 最低检测浓度

    1.56 ng/mL

    原理

    For quantitative detection in serum, plasma, tissue homogenates and other biological fluids.

    Analytical Method

    Quantitative

    灵敏度

    0.469 ng/mL

    组件

    • Pre-coated, ready to use 96-well strip plate
    • Plate sealer for 96 wells
    • Standard
    • Standard Dilution Buffer
    • Biotin-labeled Antibody (Lyophilized)
    • Purified water
    • Antibody Dilution Buffer
    • HRP-Streptavidin Conjugate (SABC)
    • SABC Dilution Buffer
    • TMB Substrate
    • Stop Solution
    • Wash Buffer (25 x concentrate)
    • Instruction manual
  • 应用备注

    Optimal working dilution should be determined by the investigator.

    说明

    Competitive ELISA, Coated with Antigen

    样本量

    50 μL

    板类型

    Pre-coated

    限制

    仅限研究用
  • 储存条件

    4 °C

    储存方法

    4 °C for 6 months

    有效期

    6 months
  • 抗原 See all Histamine (HIS) ELISA试剂盒

    Histamine (HIS)

    别名

    Histamine

    物质类

    Chemical
You are here: