电话:
+86 (0512) 65829739
传真:
+86 (010) 6788 5057
电子邮件:
orders@antibodies-online.cn

PGE2 ELISA 试剂盒

Various Species PGE2 ELISA Kit, Colorimetric is an assay for quantification of Various Species PGE2.
产品编号 ABIN5520492
发货至: 中国
Contact our Customer Service for availability and price in your country. Contact Info

Our Local Distributor

中国
北京 101111
No. 88 KeChuang 6th Street
Beijing Economic Technological Development Area
Room 801-803
4A Biotech Co.,Ltd.
Tel +86 (0512) 65829739 传真 +86 (010) 6788 5057

Quick Overview for PGE2 ELISA 试剂盒 (ABIN5520492)

抗原

See all PGE2 ELISA试剂盒
PGE2 (Prostaglandin E2 (PGE2))

适用

  • 8
  • 5
  • 4
  • 4
  • 2
  • 2
  • 2
  • 2
  • 1
  • 1
  • 1
  • 1
  • 1
Various Species

检测方法

Colorimetric

实验类型

Competition ELISA

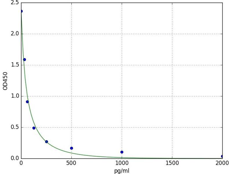
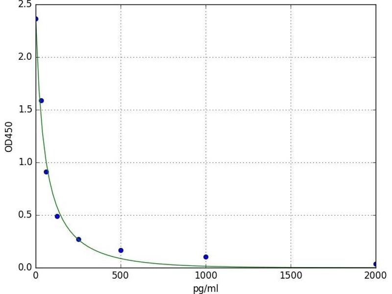
检测范围

31.25 pg/mL - 2000 pg/mL

应用范围

ELISA

样品类型

Plasma, Serum, Tissue Homogenate
  • 最低检测浓度

    31.25 pg/mL

    原理

    For quantitative detection in serum, plasma, tissue homogenates and other biological fluids.

    Analytical Method

    Quantitative

    特异性

    PGE2(Prostaglandin E2)

    灵敏度

    18.75 pg/mL

    组件

    - ELISA Microplate
    - Lyophilized Standard
    - Sample / Standard Dilution Buffer
    - Biotin-labeled Antibody (Concentrated)
    - Antibody Dilution Buffer
    - HRP-Streptavidin Conjugate(SABC)
    - SABC Dilution Buffer
    - TMB Substrate
    - Stop Solution
    - Wash Buffer (25X)
    - Plate Sealer
    - Product Description
  • 应用备注

    Optimal working dilution should be determined by the investigator.

    说明

    Competitive ELISA, Coated with Antigen

    样本量

    50 μL

    板类型

    Pre-coated

    限制

    仅限研究用
  • 储存条件

    4 °C

    储存方法

    4 °C for 6 months

    有效期

    6 months
  • 抗原 See all PGE2 ELISA试剂盒

    PGE2 (Prostaglandin E2 (PGE2))

    别名

    PGE2

    背景

    PGE2(Prostaglandin E2)
You are here: