电话:
+86 (0512) 65829739
传真:
+86 (010) 6788 5057
电子邮件:
orders@antibodies-online.cn

Caspase 3 ELISA试剂盒

(Caspase 3 (CASP3))
This gene encodes a protein which is a member of the cysteine-aspartic acid protease (caspase) family. Sequential activation of caspases plays a central role in the execution-phase of cell apoptosis. Caspases exist as inactive proenzymes which undergo proteolytic processing at conserved aspartic residues to produce two subunits, large and small, that dimerize to form the active enzyme. This protein cleaves and activates caspases 6, 7 and 9, and the protein itself is processed by caspases 8, 9 and 10. It is the predominant caspase involved in the cleavage of amyloid-beta 4A precursor protein, which is associated with neuronal death in Alzheimer's disease. Alternative splicing of this gene results in two transcript variants that encode the same protein. [provided by RefSeq, Jul 2008].

56 results

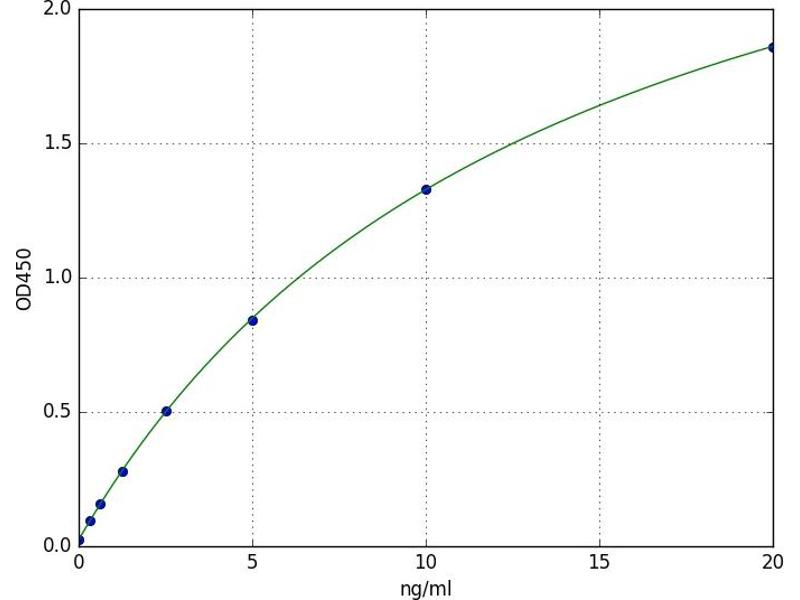
CASP3 适用: 人 Colorimetric Sandwich ELISA 0.15 ng/mL - 10 ng/mL Cell Culture Supernatant, Cell Lysate, Tissue Homogenate
Pubmed 9 references
产品编号 ABIN6574178
96 tests (More quantities available)
发货至: 中国
获取报价
 
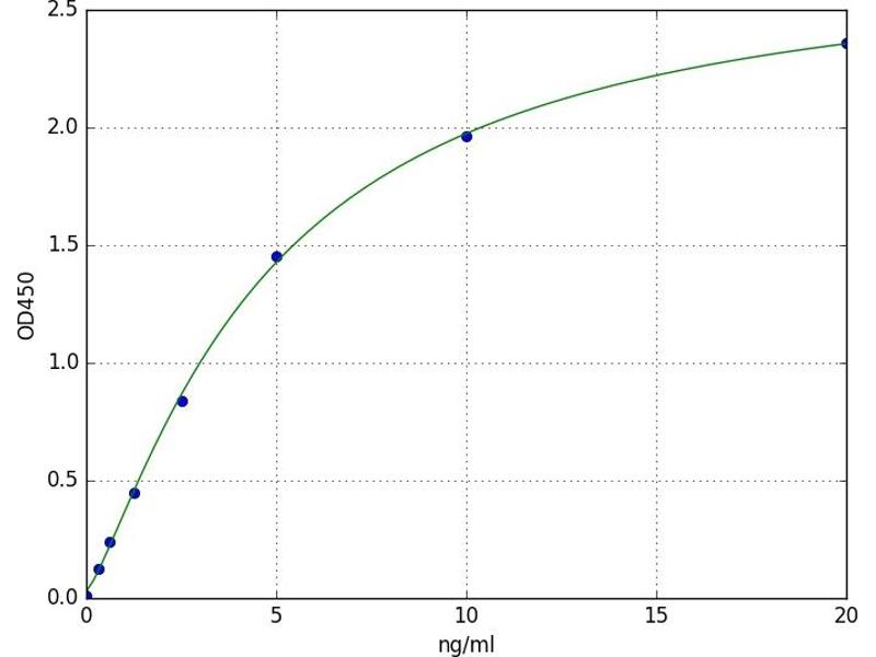
CASP3 适用: 大鼠 Colorimetric Sandwich ELISA 0.15 ng/mL - 10 ng/mL Cell Culture Supernatant, Cell Lysate, Tissue Homogenate
Pubmed 29 references
产品编号 ABIN6954418
96 tests (More quantities available)
发货至: 中国
获取报价
 
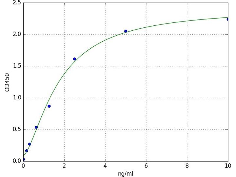
CASP3 适用: 大鼠 Colorimetric Sandwich ELISA 0.312 ng/mL - 20 ng/mL Plasma, Serum, Tissue Homogenate
Pubmed 14 references
产品编号 ABIN6973688
96 tests (More quantities available)
发货至: 中国
获取报价
 
CASP3 适用: Pig Colorimetric Sandwich ELISA 15.625 pg/mL - 1000 pg/mL Plasma, Serum, Tissue Homogenate
Pubmed 1 reference
产品编号 ABIN6965464
96 tests
发货至: 中国
获取报价
 
CASP3 适用: 小鼠 Colorimetric Sandwich ELISA 0.62 ng/mL - 40 ng/mL Cell Culture Supernatant, Cell Lysate, Tissue Homogenate
Pubmed 8 references
产品编号 ABIN6954417
96 tests (More quantities available)
发货至: 中国
获取报价
 
CASP3 适用: 大鼠 Colorimetric Sandwich ELISA 0.31 ng/mL - 20 ng/mL Cell Culture Supernatant, Plasma, Serum
Pubmed 9 references
产品编号 ABIN6963116
96 tests (More quantities available)
发货至: 中国
获取报价
 
CASP3 适用: 人 Colorimetric Sandwich ELISA 0.31 ng/mL - 20 ng/mL Cell Culture Supernatant, Plasma, Serum
Pubmed 2 references
产品编号 ABIN6961896
96 tests (More quantities available)
发货至: 中国
获取报价
 
CASP3 适用: 小鼠 Colorimetric Sandwich ELISA 0.156 ng/mL - 10 ng/mL Plasma, Serum, Tissue Homogenate
Pubmed 1 reference
产品编号 ABIN6965466
96 tests
发货至: 中国
获取报价
 
CASP3 适用: 大鼠 Colorimetric Sandwich ELISA 0.312-20 ng/mL Plasma, Serum, Tissue Homogenate
Pubmed 14 references
产品编号 ABIN811984
96 tests (More quantities available)
发货至: 中国
获取报价
 
High Sensitivity CASP3 适用: 大鼠 Colorimetric Sandwich ELISA 15.6 pg/mL - 1000 pg/mL Cell Culture Supernatant, Cell Lysate, Tissue Homogenate
产品编号 ABIN6999397
96 tests (More quantities available)
发货至: 中国
获取报价
 
CASP3 适用: 小鸡 Colorimetric Sandwich ELISA 0.156 ng/mL - 10 ng/mL Plasma, Serum, Tissue Homogenate
产品编号 ABIN6965460
96 tests
发货至: 中国
获取报价
 
CASP3 适用: 犬 Colorimetric Sandwich ELISA 0.313 ng/mL - 20 ng/mL Plasma, Serum, Tissue Homogenate
产品编号 ABIN6965463
96 tests
发货至: 中国
获取报价
 
CASP3 适用: 兔 Colorimetric Sandwich ELISA 0.313 ng/mL - 20 ng/mL Plasma, Serum, Tissue Homogenate
产品编号 ABIN6965462
96 tests
发货至: 中国
获取报价
 
CASP3 适用: Cow Colorimetric Sandwich ELISA 0.15 ng/mL - 10 ng/mL Plasma, Serum, Tissue Homogenate
产品编号 ABIN6954416
96 tests (More quantities available)
发货至: 中国
获取报价
 
CASP3 适用: 人 Colorimetric Sandwich ELISA 31.25 pg/mL - 2000 pg/mL Plasma, Serum, Tissue Homogenate
产品编号 ABIN6965465
96 tests
发货至: 中国
获取报价
 
CASP3 适用: 大鼠 Colorimetric Sandwich ELISA 0.313 ng/mL - 20 ng/mL Plasma, Serum, Tissue Homogenate
产品编号 ABIN6965461
96 tests
发货至: 中国
获取报价
 
CASP3 适用: 小鼠 Colorimetric Sandwich ELISA 0.156 ng/mL - 10 ng/mL Plasma, Serum, Tissue Homogenate
Pubmed 1 reference
产品编号 ABIN5524447
96 tests
发货至: 中国
获取报价
 
CASP3 适用: 人 AA 183-277 Colorimetric Sandwich ELISA 31.2-2000 pg/mL Cell Culture Supernatant, Serum, Tissue Homogenate
产品编号 ABIN3044699
 
High Sensitivity CASP3 适用: 大鼠 Colorimetric Sandwich ELISA 15.6 pg/mL - 1000 pg/mL Cell Lysate, Plasma, Serum, Tissue Homogenate
产品编号 ABIN4947436
96 tests
发货至: 中国
获取报价
 
CASP3 适用: 大鼠 Colorimetric Sandwich ELISA 0.31 ng/mL - 20 ng/mL Plasma, Serum, Tissue Homogenate
产品编号 ABIN5524450
96 tests
发货至: 中国
获取报价
 
  • 类型 Kit
    • Kit
  • 应用范围 ELISA
    • ELISA
    • Fluorescence Resonance Energy Transfer Microscopy (FRET)
  • 适用
    • Human
    • Rat
    • Mouse
    • Pig
    • Cow
    • Rabbit
    • Chicken
    • Dog
    • Goat
    • Guinea Pig
    • Monkey
    • Sheep
  • 论文引用
  • 图像
  • 实验类型
    • Sandwich ELISA
    • Competition ELISA
    • Cell ELISA
  • Analytical Method
    • Quantitative
    • Semi-Quantitative
    • Qualitative
  • 检测方法
    • Colorimetric
    • qPCR
  • Plate
    • Pre-coated
    • Strips (12 x 8)
    • Uncoated
    • Pre-coated,Strips (12 x 8)
  • 抗原表位
    • Cleaved-Asp175
    • AA 183-277
    • AA 29-175
    • Uncleaved
    • cleaved
    • pSer150
  • 标记
    • 非结合性
  • 样本
    • Serum
    • Plasma
    • Tissue Homogenate
    • Cell Culture Supernatant
    • Cell Lysate
    • Tissue Lysate
    • Adherent Cell Culture
    • Cell Culture Cells
    • Cell Samples
    • Suspension Cell Culture
  • Grade
    • High Sensitivity
    • QuickTest
  • Supplier
    • antibodies-online
    • Blue Gene
    • Abbexa
    • Signalway
    • Wuhan Fine biotech
    • RayBiotech
    • Abnova
    • Assay Biotechnology Company, Inc.
    • Boster Bio
    • CUSABIO
    • Cloud-Clone
    • Cohesion Biosciences
    • Elabscience
    • Rockland
    • USBio

Latest Publications for our Caspase 3 ELISA试剂盒

Dong, Yang, Zhao, Guo: "Anisodamine hydrobromide ameliorates cardiac damage after resuscitation." in: Experimental and therapeutic medicine, Vol. 23, Issue 6, pp. 422, (2022) (PubMed).

Kovacs, Maresca, Flori, Mastrofrancesco, Picardo, Cardinali: "Bovine colostrum induces the differentiation of human primary keratinocytes." in: FASEB journal : official publication of the Federation of American Societies for Experimental Biology, Vol. 34, Issue 5, pp. 6302-6321, (2021) (PubMed).

Kurakula, Naveen: "In Situ Gel Loaded with Chitosan-Coated Simvastatin Nanoparticles: Promising Delivery for Effective Anti-Proliferative Activity against Tongue Carcinoma." in: Marine drugs, Vol. 18, Issue 4, (2021) (PubMed).

Al Zaabi, Al Salam, Al Suleimani, Ashique, Manoj, Nemmar, Ali: "Effects of repeated increasing doses of cisplatin as models of acute kidney injury and chronic kidney disease in rats." in: Naunyn-Schmiedeberg's archives of pharmacology, Vol. 394, Issue 2, pp. 249-259, (2021) (PubMed).

Caputo, Piccialli, Ciccone, de Caprariis, Massa, De Feo, Pannaccione: "Lavender and coriander essential oils and their main component linalool exert a protective effect against amyloid-β neurotoxicity." in: Phytotherapy research : PTR, Vol. 35, Issue 1, pp. 486-493, (2021) (PubMed).

Adedara, Fabunmi, Ayenitaju, Atanda, Adebowale, Ajayi, Owoeye, Rocha, Farombi: "Neuroprotective mechanisms of selenium against arsenic-induced behavioral impairments in rats." in: Neurotoxicology, Vol. 76, pp. 99-110, (2021) (PubMed).

Owumi, Adedara, Farombi, Oyelere: "Protocatechuic acid modulates reproductive dysfunction linked to furan exposure in rats." in: Toxicology, Vol. 442, pp. 152556, (2021) (PubMed).

Hacioglu, Kar, Kacar, Sahinturk, Kanbak: "High Concentrations of Boric Acid Trigger Concentration-Dependent Oxidative Stress, Apoptotic Pathways and Morphological Alterations in DU-145 Human Prostate Cancer Cell Line." in: Biological trace element research, Vol. 193, Issue 2, pp. 400-409, (2020) (PubMed).

Kar, Hacioglu, Kacar, Sahinturk, Kanbak: "Betaine suppresses cell proliferation by increasing oxidative stress-mediated apoptosis and inflammation in DU-145 human prostate cancer cell line." in: Cell stress & chaperones, Vol. 24, Issue 5, pp. 871-881, (2020) (PubMed).

El-Mansi, ElSayyad, Elshershaby, Al-Ashry et al.: "Dietary supplementation of barley and/or dates attenuate hypercholesterolemic-induced endometrial dysfunction in Wistar albino rats via alleviation of apoptotic pathways and enhancing oxidative ..." in: Journal of food biochemistry, Vol. 43, Issue 11, pp. e13001, (2020) (PubMed).

Aliases for Caspase 3 ELISA试剂盒

caspase 3 (CASP3) ELISA试剂盒
caspase 3 (Casp3) ELISA试剂盒
caspase 3 S homeolog (casp3.S) ELISA试剂盒
caspase 3, apoptosis-related cysteine peptidase a (casp3a) ELISA试剂盒
caspase 3, apoptosis-related cysteine peptidase (Casp3) ELISA试剂盒
A830040C14Rik ELISA试剂盒
AC-3 ELISA试剂盒
Apopain ELISA试剂盒
CASP-3 ELISA试剂盒
casp3 ELISA试剂盒
Caspase-3 ELISA试剂盒
caspase-3 ELISA试剂盒
CC3 ELISA试剂盒
CPP32 ELISA试剂盒
CPP32B ELISA试剂盒
Lice ELISA试剂盒
mldy ELISA试剂盒
SCA-1 ELISA试剂盒
xcpp32 ELISA试剂盒
Yama ELISA试剂盒
zgc:100890 ELISA试剂盒
You are here: