电话:
+86 (0512) 65829739
传真:
+86 (010) 6788 5057
电子邮件:
orders@antibodies-online.cn

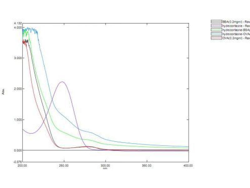
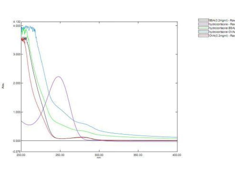
Cortisol Protein (BSA)

This not_set Cortisol protein is expressed in 合成.
产品编号 ABIN3201195
发货至: 中国
Contact our Customer Service for availability and price in your country. Contact Info

Our Local Distributor

中国
北京 101111
No. 88 KeChuang 6th Street
Beijing Economic Technological Development Area
Room 801-803
4A Biotech Co.,Ltd.
Tel +86 (0512) 65829739 传真 +86 (010) 6788 5057

Quick Overview for Cortisol Protein (BSA) (ABIN3201195)

抗原

Cortisol

宿主

激素

资源

  • 1
合成

应用范围

Immunoprecipitation (IP), SDS-PAGE (SDS), ELISA, Western Blotting (WB)

纯度

> 90 %
  • 标记

    This Cortisol protein is labelled with BSA.
  • 想要此Protein的其他选项吗?

    !
    探索我们的预定义定制蛋白和定制蛋白服务!

    您的项目需要进一步定制吗?联系我们,了解我们的定制蛋白解决方案

  • 说明

    The thermal stability is described by the loss rate of the target protein. The loss rate was determined by accelerated thermal degradation test, that is, incubate the protein at 37 °C for 48h, and no obvious degradation and precipitation were observed. (Referring from China Biological Products Standard, which was calculated by the Arrhenius equation.) The loss of this protein is less than 5% within the expiration date under appropriate storage condition.

    限制

    仅限研究用
  • 溶解方式

    Reconstitute in sterile PBS, pH 7.2 - pH 7.4.

    注意事项

    Avoid repeated freeze/thaw cycles

    储存条件

    4 °C

    储存方法

    Store at 2-8 °C for one month. Aliquot and store at -80 °C for 12 months.

    有效期

    12 months
  • 抗原

    Cortisol

    别名

    Cortisol (Cor)

    物质类

    Hormone
You are here: