电话:
+86 (0512) 65829739
传真:
+86 (010) 6788 5057
电子邮件:
orders@antibodies-online.cn

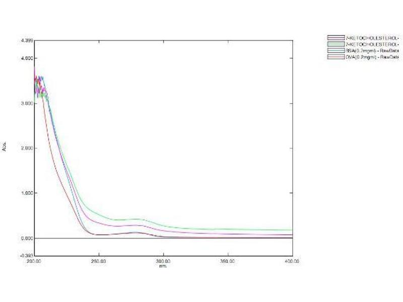
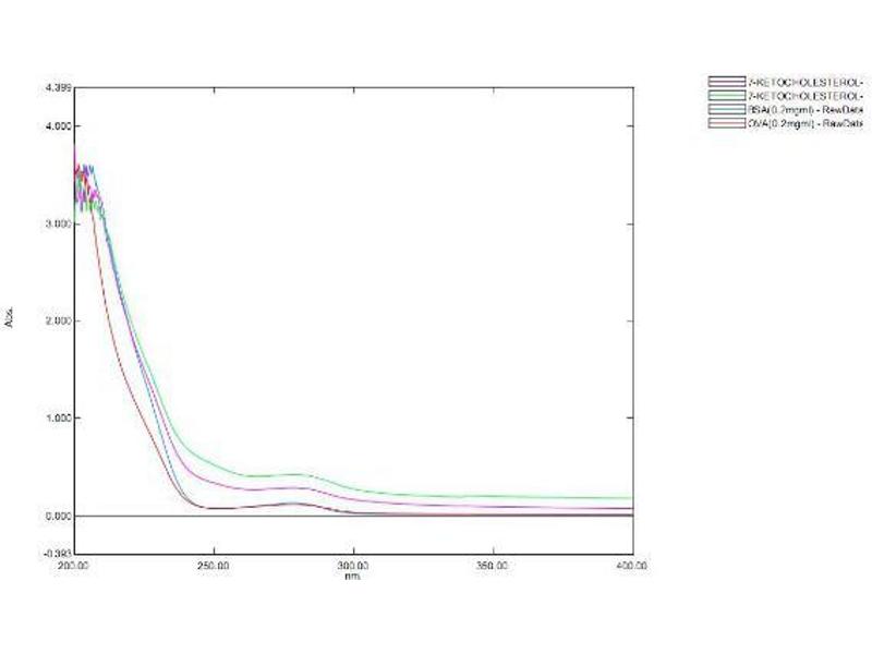
Cholesterol Protein (CH) (Ovalbumin)

This Synthetic Cholesterol protein is expressed in 合成 and has been mentioned in 1 publication.
产品编号 ABIN1880285
发货至: 中国
Contact our Customer Service for availability and price in your country. Contact Info

Our Local Distributor

中国
北京 101111
No. 88 KeChuang 6th Street
Beijing Economic Technological Development Area
Room 801-803
4A Biotech Co.,Ltd.
Tel +86 (0512) 65829739 传真 +86 (010) 6788 5057

Quick Overview for Cholesterol Protein (CH) (Ovalbumin) (ABIN1880285)

抗原

Cholesterol (CH)

蛋白类型

Synthetic

宿主

  • 1
  • 1
综合类

资源

  • 1
  • 1
合成

应用范围

Immunoprecipitation (IP), SDS-PAGE (SDS), ELISA, Western Blotting (WB)

纯度

> 95 %
  • 标记

    This Cholesterol protein is labelled with Ovalbumin.

    产品特性

    Chemical Formula: C27H46O
  • 想要此Protein的其他选项吗?

    !
    探索我们的预定义定制蛋白和定制蛋白服务!

    您的项目需要进一步定制吗?联系我们,了解我们的定制蛋白解决方案

  • 限制

    仅限研究用
  • 状态

    Lyophilized

    溶解方式

    Reconstitute in sterile PBS, pH 7.2- pH 7.4.

    缓冲液

    PBS.

    注意事项

    Avoid repeated freeze/thaw cycles.

    储存条件

    4 °C/-80 °C

    储存方法

    Store at 2-8 °C for one month. Aliquot and store at -80 °C for 12 months.
  • Sobol, Krausová, Yildirim, Kalasová, Fáberová, Vrkoslav, Philimonenko, Marášek, Pastorek, Čapek, Lubovská, Uličná, Tsuji, Lísa, Cvačka, Fujimoto, Hozak: "Nuclear phosphatidylinositol 4,5-bisphosphate islets contribute to efficient RNA polymerase II-dependent transcription." in: Journal of cell science, Vol. 131, Issue 8, (2018) (PubMed).

  • 抗原

    Cholesterol (CH)

    分子量

    386.65 g/mol
You are here: