电话:
+86 (0512) 65829739
传真:
+86 (010) 6788 5057
电子邮件:
orders@antibodies-online.cn

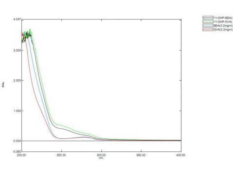
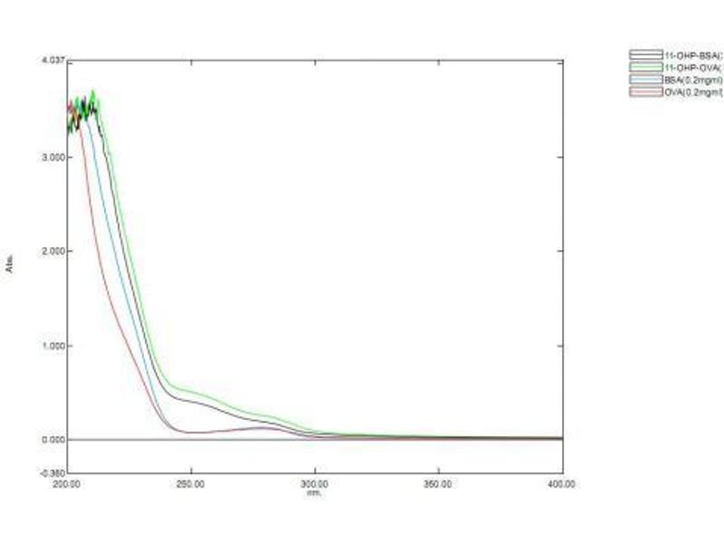
11-Hydroxyprogesterone Protein (Ovalbumin)

This Synthetic 11-Hydroxyprogesterone protein is expressed in 合成.
产品编号 ABIN1880149
发货至: 中国
Contact our Customer Service for availability and price in your country. Contact Info

Our Local Distributor

中国
北京 101111
No. 88 KeChuang 6th Street
Beijing Economic Technological Development Area
Room 801-803
4A Biotech Co.,Ltd.
Tel +86 (0512) 65829739 传真 +86 (010) 6788 5057

Quick Overview for 11-Hydroxyprogesterone Protein (Ovalbumin) (ABIN1880149)

抗原

11-Hydroxyprogesterone

蛋白类型

Synthetic

宿主

综合类

资源

合成

应用范围

Immunoprecipitation (IP), SDS-PAGE (SDS), ELISA, Western Blotting (WB)

纯度

> 95 %
  • 标记

    This 11-Hydroxyprogesterone protein is labelled with Ovalbumin.

    产品特性

    Chemical Formula: C21H30O3
  • 想要此Protein的其他选项吗?

    !
    探索我们的预定义定制蛋白和定制蛋白服务!

    您的项目需要进一步定制吗?联系我们,了解我们的定制蛋白解决方案

  • 限制

    仅限研究用
  • 溶解方式

    Reconstitute in sterile PBS, pH 7.2- pH 7.4.

    注意事项

    Avoid repeated freeze/thaw cycles.

    储存条件

    4 °C/-80 °C

    储存方法

    Store at 2-8 °C for one month. Aliquot and store at -80 °C for 12 months.
  • 抗原

    11-Hydroxyprogesterone

    分子量

    330.5 g/mol
You are here: