电话:
+86 (0512) 65829739
传真:
+86 (010) 6788 5057
电子邮件:
orders@antibodies-online.cn

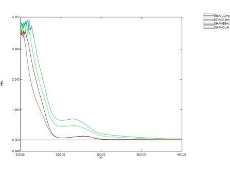
S-Adenosyl-Methionine Protein (SAM) (Ovalbumin)

This not_set S-Adenosyl-Methionine protein is expressed in 合成.
产品编号 ABIN1880117
发货至: 中国
Contact our Customer Service for availability and price in your country. Contact Info

Our Local Distributor

中国
北京 101111
No. 88 KeChuang 6th Street
Beijing Economic Technological Development Area
Room 801-803
4A Biotech Co.,Ltd.
Tel +86 (0512) 65829739 传真 +86 (010) 6788 5057

Quick Overview for S-Adenosyl-Methionine Protein (SAM) (Ovalbumin) (ABIN1880117)

抗原

S-Adenosyl-Methionine (SAM)

宿主

所有种类

资源

  • 1
合成

应用范围

Immunoprecipitation (IP), SDS-PAGE (SDS), ELISA, Western Blotting (WB)

纯度

> 95 %
  • 标记

    This S-Adenosyl-Methionine protein is labelled with Ovalbumin.
  • 想要此Protein的其他选项吗?

    !
    探索我们的预定义定制蛋白和定制蛋白服务!

    您的项目需要进一步定制吗?联系我们,了解我们的定制蛋白解决方案

  • 应用备注

    Western blotting: 1:100-400
    Immunocytochemistry in formalin fixed cells: 1:100-500
    Immunohistochemistry in formalin fixed frozen section: 1:100-500
    Immunohistochemistry in paraffin section: 1:50-200
    Enzyme-linked Immunosorbent Assay: 1:100-200
    Optimal working dilutions must be determined by end user.

    限制

    仅限研究用
  • 溶解方式

    Reconstitute in sterile PBS, pH 7.2 - pH 7.4.

    注意事项

    Avoid repeated freeze/thaw cycles

    储存条件

    4 °C

    储存方法

    Store at 2-8 °C for one month. Aliquot and store at -80 °C for 12 months.

    有效期

    12 months
  • 抗原

    S-Adenosyl-Methionine (SAM)

    物质类

    Chemical

    分子量

    398.4 g/mol
You are here: