电话:
+86 (0512) 65829739
传真:
+86 (010) 6788 5057
电子邮件:
orders@antibodies-online.cn

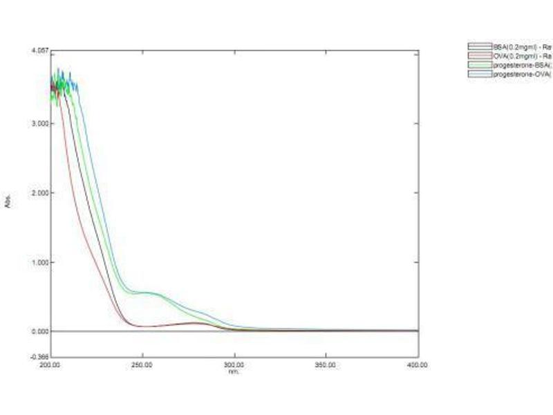
Progesterone peptide (Ovalbumin)

适用: 所有种类 宿主: 合成 Imm, SDS, WB
产品编号 ABIN5666358
发货至: 中国
Contact our Customer Service for availability and price in your country. Contact Info

Our Local Distributor

中国
北京 101111
No. 88 KeChuang 6th Street
Beijing Economic Technological Development Area
Room 801-803
4A Biotech Co.,Ltd.
Tel +86 (0512) 65829739 传真 +86 (010) 6788 5057

Quick Overview for Progesterone peptide (Ovalbumin) (ABIN5666358)

抗原

Progesterone

宿主

所有种类

资源

  • 1
合成

应用范围

Immunogen (Imm), SDS-PAGE (SDS), Western Blotting (WB)
  • 标记

    This Progesterone peptide is labelled with Ovalbumin.

    纯度

    >95 %
  • 应用备注

    Optimal working dilution should be determined by the investigator.

    限制

    仅限研究用
  • 状态

    Lyophilized

    缓冲液

    PBS, pH 7.4.
  • 抗原

    Progesterone

    物质类

    Hormone

    背景

    Alternative Names: P4, Pregn-4-Ene-3,20-Dione
You are here: