电话:
+86 (0512) 65829739
传真:
+86 (010) 6788 5057
电子邮件:
orders@antibodies-online.cn

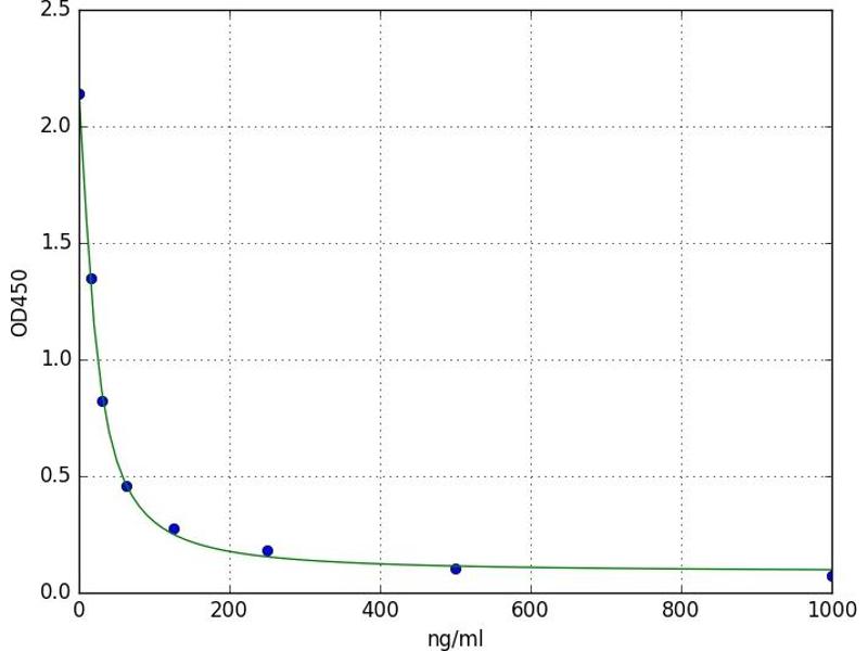
Serotonin ELISA 试剂盒

This Colorimetric ELISA kit is designed for the quantitative measurement of Various Species Serotonin.
产品编号 ABIN5706365
发货至: 中国
Contact our Customer Service for availability and price in your country. Contact Info

Our Local Distributor

中国
北京 101111
No. 88 KeChuang 6th Street
Beijing Economic Technological Development Area
Room 801-803
4A Biotech Co.,Ltd.
Tel +86 (0512) 65829739 传真 +86 (010) 6788 5057

Quick Overview for Serotonin ELISA 试剂盒 (ABIN5706365)

抗原

See all Serotonin (5-HT) ELISA试剂盒
Serotonin (5-HT) (5-Hydroxytryptamine (5-HT))

适用

  • 3
  • 3
  • 3
  • 3
  • 3
  • 2
  • 1
  • 1
  • 1
  • 1
  • 1
  • 1
  • 1
  • 1
Various Species

检测方法

Colorimetric

实验类型

Competition ELISA

检测范围

15.63 ng/mL - 1000 ng/mL

应用范围

ELISA
  • 最低检测浓度

    15.63 ng/mL

    Analytical Method

    Quantitative

    灵敏度

    9375 ng/mL
  • 应用备注

    Optimal working dilution should be determined by the investigator.

    说明

    Competitive ELISA, Coated with Antigen

    板类型

    Pre-coated

    限制

    仅限研究用
  • 储存条件

    4 °C

    有效期

    6 months
  • 抗原 See all Serotonin (5-HT) ELISA试剂盒

    Serotonin (5-HT) (5-Hydroxytryptamine (5-HT))

    别名

    5-hydroxytryptamine

    物质类

    Chemical

    背景

    ST/5-HT(Serotonin/5-Hydroxytryptamine)
You are here: