电话:
+86 (0512) 65829739
传真:
+86 (010) 6788 5057
电子邮件:
orders@antibodies-online.cn

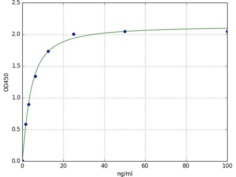
IFNalpha-Ab ELISA 试剂盒

This Colorimetric ELISA kit is designed for the quantitative measurement of 大鼠 IFNalpha-Ab.
产品编号 ABIN5706344
发货至: 中国
Contact our Customer Service for availability and price in your country. Contact Info

Our Local Distributor

中国
北京 101111
No. 88 KeChuang 6th Street
Beijing Economic Technological Development Area
Room 801-803
4A Biotech Co.,Ltd.
Tel +86 (0512) 65829739 传真 +86 (010) 6788 5057

Quick Overview for IFNalpha-Ab ELISA 试剂盒 (ABIN5706344)

抗原

See all IFNalpha-Ab products
IFNalpha-Ab (Interferon-alpha Antibody (IFNalpha-Ab))

适用

  • 4
  • 3
  • 1
  • 1
  • 1
  • 1
  • 1
  • 1
  • 1
  • 1
  • 1
大鼠

检测方法

Colorimetric

实验类型

Sandwich ELISA

检测范围

1.56 ng/mL - 100 ng/mL

应用范围

ELISA
  • 最低检测浓度

    1.56 ng/mL

    Analytical Method

    Quantitative

    灵敏度

    0938 ng/mL
  • 应用备注

    Optimal working dilution should be determined by the investigator.

    说明

    Sandwich ELISA, Double Antigen

    板类型

    Pre-coated

    限制

    仅限研究用
  • 储存条件

    4 °C

    有效期

    6 months
  • 抗原 See all IFNalpha-Ab products

    IFNalpha-Ab (Interferon-alpha Antibody (IFNalpha-Ab))

    别名

    Interferon-alpha Antibody

    物质类

    Antibody

    背景

    INF-α-Ab
You are here: