电话:
+86 (0512) 65829739
传真:
+86 (010) 6788 5057
电子邮件:
orders@antibodies-online.cn

Chemerin ELISA 试剂盒

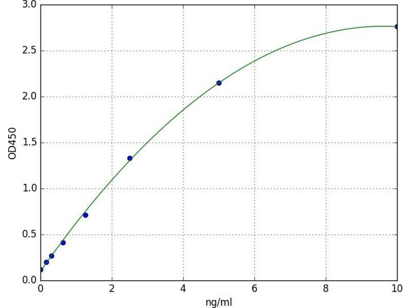
The Pig Chemerin ELISA Kit (ABIN5696665) is a Colorimetric ELISA Kit designed to quantify Pig Chemerin.
产品编号 ABIN5696665
发货至: 中国
Contact our Customer Service for availability and price in your country. Contact Info

Our Local Distributor

中国
北京 101111
No. 88 KeChuang 6th Street
Beijing Economic Technological Development Area
Room 801-803
4A Biotech Co.,Ltd.
Tel +86 (0512) 65829739 传真 +86 (010) 6788 5057

Quick Overview for Chemerin ELISA 试剂盒 (ABIN5696665)

抗原

See all Chemerin (RARRES2) ELISA试剂盒
Chemerin (RARRES2) (Retinoic Acid Receptor Responder (Tazarotene Induced) 2 (RARRES2))

适用

  • 10
  • 9
  • 4
  • 2
  • 2
  • 1
  • 1
  • 1
  • 1
  • 1
  • 1
  • 1
Pig

检测方法

Colorimetric

实验类型

Sandwich ELISA

检测范围

0.15 ng/mL - 10 ng/mL

应用范围

ELISA
You are here: