电话:
+86 (0512) 65829739
传真:
+86 (010) 6788 5057
电子邮件:
orders@antibodies-online.cn

OVA sIgE ELISA 试剂盒

小鼠 OVA sIgE ELISA Kit, Colorimetric is an assay for quantification of 小鼠 OVA sIgE.
产品编号 ABIN5696483
发货至: 中国
Contact our Customer Service for availability and price in your country. Contact Info

Our Local Distributor

中国
北京 101111
No. 88 KeChuang 6th Street
Beijing Economic Technological Development Area
Room 801-803
4A Biotech Co.,Ltd.
Tel +86 (0512) 65829739 传真 +86 (010) 6788 5057

Quick Overview for OVA sIgE ELISA 试剂盒 (ABIN5696483)

抗原

See all OVA sIgE products
OVA sIgE (Ovalbumin Specific IgE (OVA sIgE))

适用

  • 3
  • 3
  • 2
  • 2
  • 2
  • 2
  • 2
  • 1
  • 1
  • 1
  • 1
  • 1
小鼠

检测方法

Colorimetric

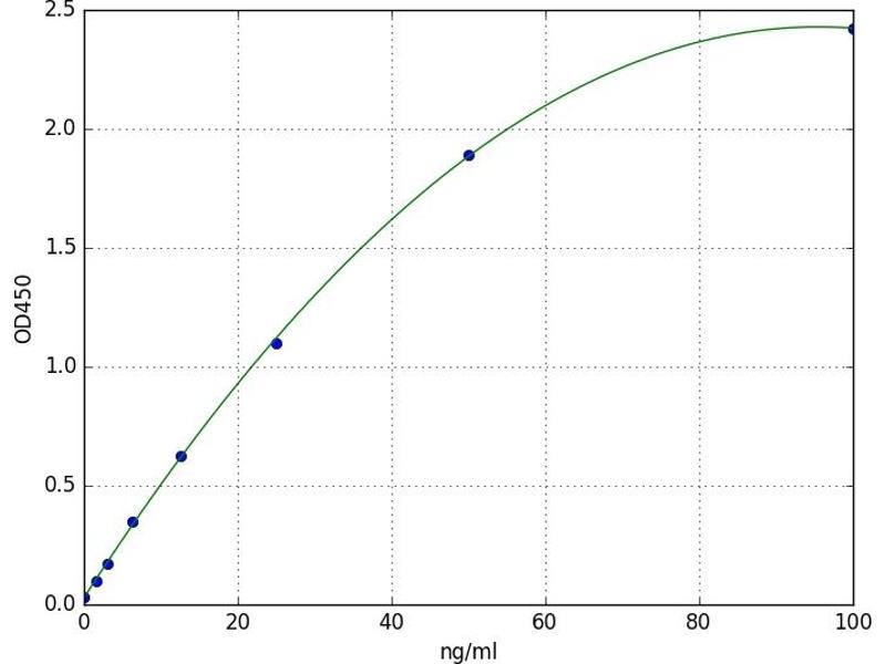
检测范围

1.56 ng/mL - 100 ng/mL

应用范围

ELISA
  • 最低检测浓度

    1.56 ng/mL

    Analytical Method

    Quantitative

    灵敏度

    0938 ng/mL
  • 应用备注

    Optimal working dilution should be determined by the investigator.

    说明

    Indirect ELISA

    板类型

    Pre-coated

    限制

    仅限研究用
  • 储存条件

    4 °C

    有效期

    6 months
  • 抗原 See all OVA sIgE products

    OVA sIgE (Ovalbumin Specific IgE (OVA sIgE))

    别名

    OVA sIgE (Ovalbumin Specific IgE)

    物质类

    Antibody

    背景

    OVA sIgE
You are here: