电话:
+86 (0512) 65829739
传真:
+86 (010) 6788 5057
电子邮件:
orders@antibodies-online.cn

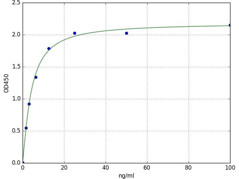
P-Selectin ELISA 试剂盒

This Colorimetric ELISA kit is designed for the quantitative measurement of 人 P-Selectin.
产品编号 ABIN5696385
发货至: 中国
Contact our Customer Service for availability and price in your country. Contact Info

Our Local Distributor

中国
北京 101111
No. 88 KeChuang 6th Street
Beijing Economic Technological Development Area
Room 801-803
4A Biotech Co.,Ltd.
Tel +86 (0512) 65829739 传真 +86 (010) 6788 5057

Quick Overview for P-Selectin ELISA 试剂盒 (ABIN5696385)

抗原

See all P-Selectin (SELP) ELISA试剂盒
P-Selectin (SELP) (Selectin P (Granule Membrane Protein 140kDa, Antigen CD62) (SELP))

适用

  • 14
  • 14
  • 7
  • 7
  • 3
  • 2
  • 2
  • 2
  • 2
  • 2
  • 1
  • 1

检测方法

Colorimetric

实验类型

Sandwich ELISA

检测范围

0.156 ng/mL - 10 ng/mL

应用范围

ELISA

样品类型

Plasma, Serum, Tissue Homogenate
  • 最低检测浓度

    0.156 ng/mL

    原理

    For quantitative detection of sSELP in serum, plasma, tissue homogenates.

    Analytical Method

    Quantitative

    特异性

    This assay has high sensitivity and excellent specificity for detection of sSELP. No significant cross-reactivity or interference between sSELP and analogues was observed. Note: Limited by current skills and knowledge, it is difficult for us to complete the cross-reactivity detection between sSELP and all the analogues, therefore, cross reaction may still exist.

    灵敏度

    0.094 ng/mL
  • 应用备注

    Optimal working dilution should be determined by the investigator.

    说明

    Sandwich ELISA, Double Antibody

    板类型

    Pre-coated

    限制

    仅限研究用
  • 储存条件

    4 °C

    储存方法

    1. For unopened kit: All the reagents should be kept according to the labels on vials. The Reference Standard and the 96-well stripe plate should be stored at -20 °C upon receipt while the other reagents should be stored at 4 °C.
    2. For used kit: When the kit is used, the remaining reagents need to be stored according to the above storage condition. Besides, please return the unused wells to the foil pouch containing the desiccant pack, and zip-seal the foil pouch.

    有效期

    6 months
  • 抗原 See all P-Selectin (SELP) ELISA试剂盒

    P-Selectin (SELP) (Selectin P (Granule Membrane Protein 140kDa, Antigen CD62) (SELP))

    别名

    sSELP (Soluble P-Selectin)

    背景

    SSELP/Soluble P-Selectin
You are here: