电话:
+86 (0512) 65829739
传真:
+86 (010) 6788 5057
电子邮件:
orders@antibodies-online.cn

ADIPOQ ELISA 试剂盒

The 大鼠 ADIPOQ ELISA Kit (ABIN5696284) is a Colorimetric ELISA Kit designed to quantify 大鼠 ADIPOQ.
产品编号 ABIN5696284
发货至: 中国
Contact our Customer Service for availability and price in your country. Contact Info

Our Local Distributor

中国
北京 101111
No. 88 KeChuang 6th Street
Beijing Economic Technological Development Area
Room 801-803
4A Biotech Co.,Ltd.
Tel +86 (0512) 65829739 传真 +86 (010) 6788 5057

Quick Overview for ADIPOQ ELISA 试剂盒 (ABIN5696284)

抗原

See all ADIPOQ ELISA试剂盒
ADIPOQ (Adiponectin (ADIPOQ))

适用

  • 20
  • 15
  • 14
  • 5
  • 3
  • 3
  • 3
  • 2
  • 2
  • 2
  • 1
  • 1
  • 1
  • 1
  • 1
  • 1
大鼠

检测方法

Colorimetric

实验类型

Sandwich ELISA

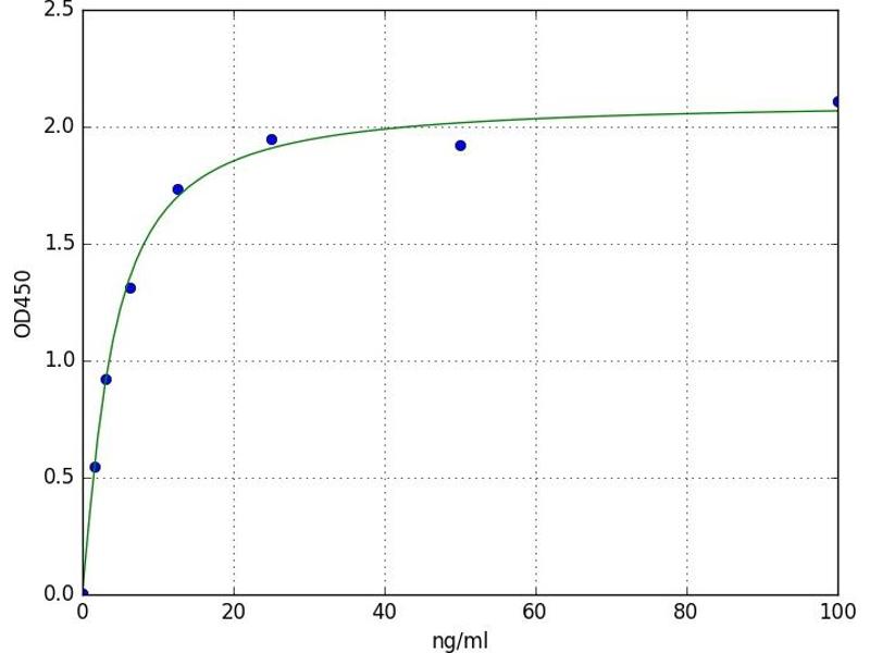
检测范围

15.625 pg/mL - 1000 pg/mL

应用范围

ELISA
  • 最低检测浓度

    15.625 pg/mL

    Analytical Method

    Quantitative

    灵敏度

    9.375 pg/mL
  • 应用备注

    Optimal working dilution should be determined by the investigator.

    说明

    Sandwich ELISA, Double Antibody

    板类型

    Pre-coated

    限制

    仅限研究用
  • 储存条件

    4 °C

    有效期

    6 months
  • 抗原 See all ADIPOQ ELISA试剂盒

    ADIPOQ (Adiponectin (ADIPOQ))

    别名

    Adiponectin

    背景

    Adiponectin/AdipoQ/ADP/Acrp30/GBP28/ACDC/ADPN
You are here: