电话:
+86 (0512) 65829739
传真:
+86 (010) 6788 5057
电子邮件:
orders@antibodies-online.cn

Thyroid Stimulating Hormone Receptor Antibody,TRAb ELISA 试剂盒

The 小鼠 Thyroid Stimulating Hormone Receptor Antibody,TRAb ELISA Kit (ABIN5525954) is a Colorimetric ELISA Kit designed to quantify 小鼠 Thyroid Stimulating Hormone Receptor Antibody,TRAb.
产品编号 ABIN5525954
发货至: 中国
Contact our Customer Service for availability and price in your country. Contact Info

Our Local Distributor

中国
北京 101111
No. 88 KeChuang 6th Street
Beijing Economic Technological Development Area
Room 801-803
4A Biotech Co.,Ltd.
Tel +86 (0512) 65829739 传真 +86 (010) 6788 5057

Quick Overview for Thyroid Stimulating Hormone Receptor Antibody,TRAb ELISA 试剂盒 (ABIN5525954)

抗原

Thyroid Stimulating Hormone Receptor Antibody,TRAb

适用

  • 3
  • 1
  • 1
  • 1
  • 1
  • 1
  • 1
  • 1
  • 1
  • 1
  • 1
小鼠

检测方法

Colorimetric

实验类型

Sandwich ELISA

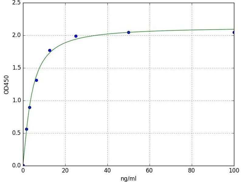
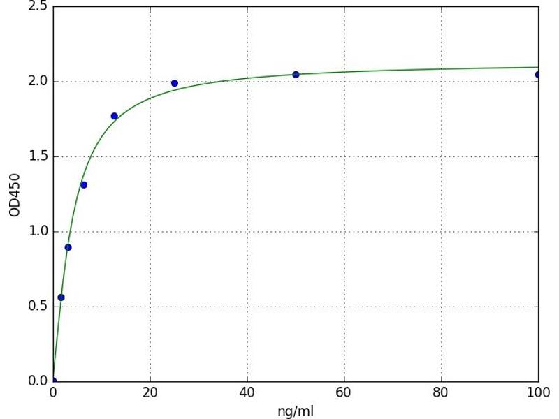
检测范围

1.56 ng/mL - 100 ng/mL

应用范围

ELISA

样品类型

Plasma, Serum, Tissue Homogenate
  • 最低检测浓度

    1.56 ng/mL

    原理

    For quantitative detection in serum, plasma, tissue homogenates and other biological fluids.

    Analytical Method

    Quantitative

    特异性

    TRAb

    灵敏度

    0.938 ng/mL

    组件

    - ELISA Microplate
    - Lyophilized Standard
    - Sample / Standard Dilution Buffer
    - Biotin-labeled Antibody (Concentrated)
    - Antibody Dilution Buffer
    - HRP-Streptavidin Conjugate(SABC)
    - SABC Dilution Buffer
    - TMB Substrate
    - Stop Solution
    - Wash Buffer (25X)
    - Plate Sealer
    - Product Description

    试剂未包括

    - Microplate reader (wavelength: 450nm)
    - 37 °C incubator
    - Automated plate washer
    - Precision single and multi-channel pipette and disposable tips
    - Clean tubes and Eppendorf tubes
    - Deionized or distilled water
  • 应用备注

    Optimal working dilution should be determined by the investigator.

    说明

    Sandwich ELISA, Double Antigen

    样本量

    100 μL

    板类型

    Pre-coated

    限制

    仅限研究用
  • 储存条件

    4 °C

    储存方法

    4 °C for 6 months

    有效期

    6 months
  • 抗原

    Thyroid Stimulating Hormone Receptor Antibody,TRAb

    别名

    TRAb

    物质类

    Antibody

    背景

    TRAb
You are here: