电话:
+86 (0512) 65829739
传真:
+86 (010) 6788 5057
电子邮件:
orders@antibodies-online.cn

Catalase ELISA 试剂盒

人 Catalase ELISA Kit, Colorimetric is an assay for quantification of 人 Catalase, that has been mentioned in 1 publication.
产品编号 ABIN5525892
发货至: 中国
Contact our Customer Service for availability and price in your country. Contact Info

Our Local Distributor

中国
北京 101111
No. 88 KeChuang 6th Street
Beijing Economic Technological Development Area
Room 801-803
4A Biotech Co.,Ltd.
Tel +86 (0512) 65829739 传真 +86 (010) 6788 5057

Quick Overview for Catalase ELISA 试剂盒 (ABIN5525892)

抗原

See all Catalase (CAT) ELISA试剂盒
Catalase (CAT)

适用

  • 8
  • 7
  • 7
  • 3
  • 2
  • 2
  • 2
  • 1
  • 1
  • 1
  • 1
  • 1
  • 1
  • 1
  • 1

检测方法

Colorimetric

实验类型

Sandwich ELISA

检测范围

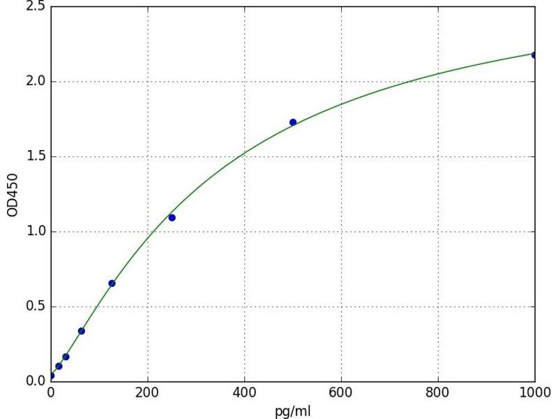
15.625 pg/mL - 1000 pg/mL

应用范围

ELISA

样品类型

Plasma, Serum, Tissue Homogenate
  • 最低检测浓度

    15.625 pg/mL

    原理

    For quantitative detection of CAT in serum, plasma, tissue homogenates.

    Analytical Method

    Quantitative

    特异性

    This assay has high sensitivity and excellent specificity for detection of CAT. No significant cross-reactivity or interference between CAT and analogues was observed. Note: Limited by current skills and knowledge, it is difficult for us to complete the cross-reactivity detection between CAT and all the analogues, therefore, cross reaction may still exist.

    灵敏度

    9.375 pg/mL

    组件

    - ELISA Microplate
    - Lyophilized Standard
    - Sample / Standard Dilution Buffer
    - Biotin-labeled Antibody (Concentrated)
    - Antibody Dilution Buffer
    - HRP-Streptavidin Conjugate(SABC)
    - SABC Dilution Buffer
    - TMB Substrate
    - Stop Solution
    - Wash Buffer (25X)
    - Plate Sealer
    - Product Description
  • 应用备注

    Optimal working dilution should be determined by the investigator.

    说明

    Sandwich ELISA, Double Antibody

    样本量

    100 μL

    板类型

    Pre-coated

    限制

    仅限研究用
  • 储存条件

    4 °C

    储存方法

    1. For unopened kit: All the reagents should be kept according to the labels on vials. The Reference Standard and the 96-well stripe plate should be stored at -20 °C upon receipt while the other reagents should be stored at 4 °C.
    2. For used kit: When the kit is used, the remaining reagents need to be stored according to the above storage condition. Besides, please return the unused wells to the foil pouch containing the desiccant pack, and zip-seal the foil pouch.

    有效期

    6 months
  • Albenzio, Santillo, Ciliberti, Figliola, Caroprese, Polito, Messina: "Milk nutrition and childhood epilepsy: An ex vivo study on cytokines and oxidative stress in response to milk protein fractions." in: Journal of dairy science, Vol. 101, Issue 6, pp. 4842-4852, (2018) (PubMed).

  • 抗原 See all Catalase (CAT) ELISA试剂盒

    Catalase (CAT)

    别名

    Cat(Catalase)

    背景

    CAT/Cas1/Cs-1/catalase

    UniProt

    P04040

    途径

    Cellular Glucan Metabolic Process, Cell RedoxHomeostasis, Photoperiodism
You are here: