电话:
+86 (0512) 65829739
传真:
+86 (010) 6788 5057
电子邮件:
orders@antibodies-online.cn

Neopterin ELISA 试剂盒

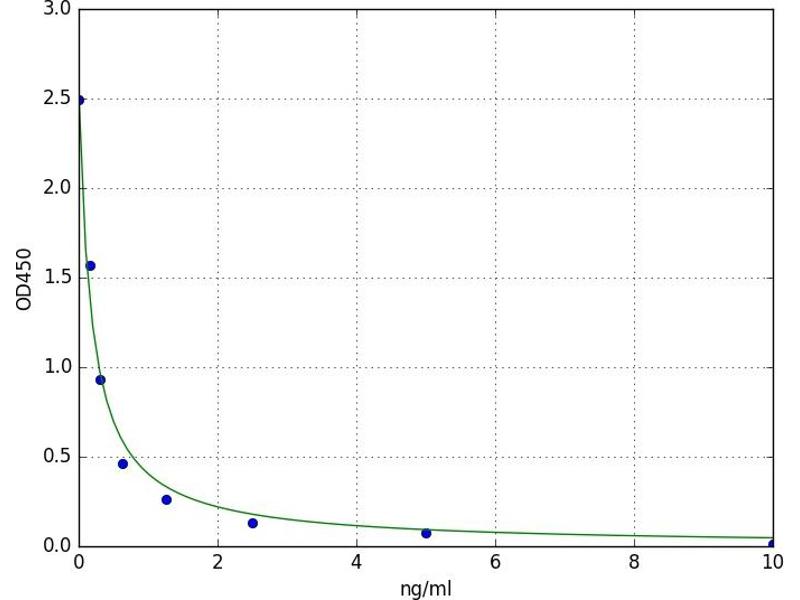
The 人 Neopterin ELISA Kit (ABIN5525189) is a Colorimetric ELISA Kit designed to quantify 人 Neopterin. This ELISA Kit has been cited in 1 publication.
产品编号 ABIN5525189
发货至: 中国
Contact our Customer Service for availability and price in your country. Contact Info

Our Local Distributor

中国
北京 101111
No. 88 KeChuang 6th Street
Beijing Economic Technological Development Area
Room 801-803
4A Biotech Co.,Ltd.
Tel +86 (0512) 65829739 传真 +86 (010) 6788 5057

Quick Overview for Neopterin ELISA 试剂盒 (ABIN5525189)

抗原

See all Neopterin (NP) products
Neopterin (NP)

适用

  • 1
  • 1
  • 1
  • 1

检测方法

Colorimetric

实验类型

Competition ELISA

检测范围

0.15 ng/mL - 10 ng/mL

应用范围

ELISA

样品类型

Plasma, Serum, Tissue Homogenate
  • 最低检测浓度

    0.15 ng/mL

    原理

    For quantitative detection in serum, plasma, tissue homogenates and other biological fluids.

    Analytical Method

    Quantitative

    特异性

    Neopterin

    灵敏度

    0.094 ng/mL

    组件

    - ELISA Microplate
    - Lyophilized Standard
    - Sample / Standard Dilution Buffer
    - Biotin-labeled Antibody (Concentrated)
    - Antibody Dilution Buffer
    - HRP-Streptavidin Conjugate(SABC)
    - SABC Dilution Buffer
    - TMB Substrate
    - Stop Solution
    - Wash Buffer (25X)
    - Plate Sealer
    - Product Description
  • 应用备注

    Optimal working dilution should be determined by the investigator.

    说明

    Competitive ELISA, Coated with Antigen

    样本量

    50 μL

    板类型

    Pre-coated

    限制

    仅限研究用
  • 储存条件

    4 °C

    储存方法

    4 °C for 6 months

    有效期

    6 months
  • Kranaster, Hoyer, Aksay, Bumb, Müller, Zill, Schwarz, Sartorius: "Antidepressant efficacy of electroconvulsive therapy is associated with a reduction of the innate cellular immune activity in the cerebrospinal fluid in patients with depression." in: The world journal of biological psychiatry : the official journal of the World Federation of Societies of Biological Psychiatry, Vol. 19, Issue 5, pp. 379-389, (2018) (PubMed).

  • 抗原 See all Neopterin (NP) products

    Neopterin (NP)

    别名

    Neopterin

    物质类

    Chemical

    背景

    Neopterin
You are here: