HMOX1 ELISA 试剂盒
Our Local Distributor
北京 101111
Quick Overview for HMOX1 ELISA 试剂盒 (ABIN5524630)
抗原
See all HMOX1 ELISA试剂盒适用
检测方法
实验类型
检测范围
应用范围
样品类型
-
-
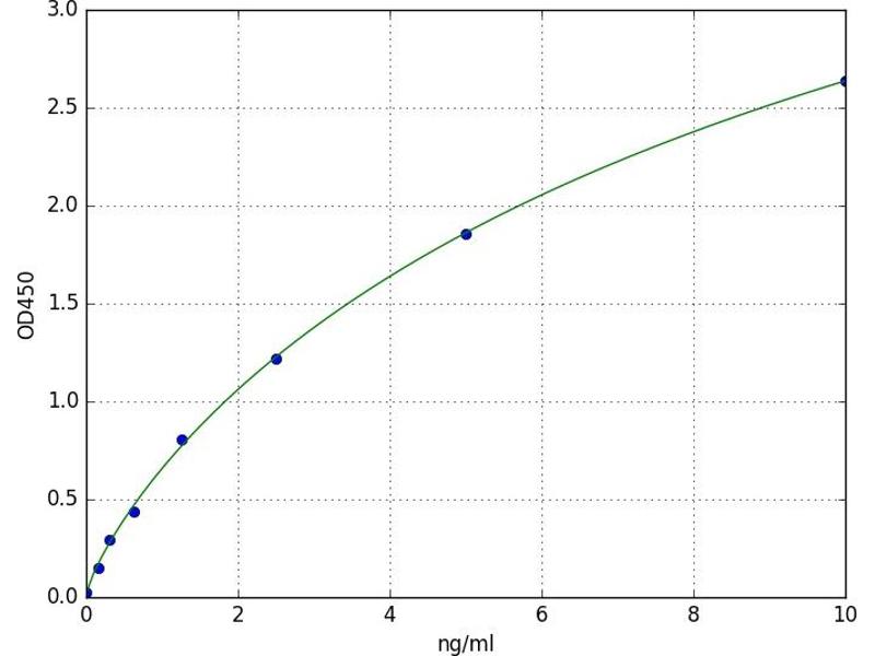
最低检测浓度
- 0.15 ng/mL
-
原理
- For quantitative detection in serum, plasma, tissue homogenates and other biological fluids.
-
Analytical Method
- Quantitative
-
特异性
- HO-1/HO1/HMOX1/HSP32/heat shock protein, 32-kD/heme oxygenase(decycling) 1/HO/HO1
-
灵敏度
- 0.094 ng/mL
-
组件
-
- ELISA Microplate
- Lyophilized Standard
- Sample / Standard Dilution Buffer
- Biotin-labeled Antibody (Concentrated)
- Antibody Dilution Buffer
- HRP-Streptavidin Conjugate(SABC)
- SABC Dilution Buffer
- TMB Substrate
- Stop Solution
- Wash Buffer (25X)
- Plate Sealer
- Product Description
-
-
-
-
应用备注
- Optimal working dilution should be determined by the investigator.
-
说明
-
Sandwich ELISA, Double Antibody
-
样本量
- 100 μL
-
板类型
- Pre-coated
-
限制
- 仅限研究用
-
-
-
储存条件
- 4 °C
-
储存方法
- 4 °C for 6 months
-
有效期
- 6 months
-
-
- HMOX1 (Heme Oxygenase (Decycling) 1 (HMOX1))
-
别名
- HO-1
-
背景
- HO-1/HO1/HMOX1/HSP32/heat shock protein, 32-kD/heme oxygenase(decycling) 1/HO/HO1
-
UniProt
- P06762
-
途径
- Transition Metal Ion Homeostasis, Regulation of Leukocyte Mediated Immunity, Positive Regulation of Immune Effector Process, Production of Molecular Mediator of Immune Response, SARS-CoV-2 Protein Interactome
抗原 See all HMOX1 ELISA试剂盒
-