电话:
+86 (0512) 65829739
传真:
+86 (010) 6788 5057
电子邮件:
orders@antibodies-online.cn

DDIT3 ELISA 试剂盒

This Colorimetric ELISA kit is designed for the quantitative measurement of 大鼠 DDIT3.
产品编号 ABIN5524432
发货至: 中国
Contact our Customer Service for availability and price in your country. Contact Info

Our Local Distributor

中国
北京 101111
No. 88 KeChuang 6th Street
Beijing Economic Technological Development Area
Room 801-803
4A Biotech Co.,Ltd.
Tel +86 (0512) 65829739 传真 +86 (010) 6788 5057

Quick Overview for DDIT3 ELISA 试剂盒 (ABIN5524432)

抗原

See all DDIT3 ELISA试剂盒
DDIT3 (DNA-Damage-Inducible Transcript 3 (DDIT3))

适用

  • 7
  • 4
  • 3
  • 2
  • 1
  • 1
  • 1
  • 1
  • 1
  • 1
  • 1
  • 1
大鼠

检测方法

Colorimetric

实验类型

Competition ELISA

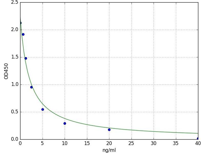
检测范围

0.62 ng/mL - 40 ng/mL

应用范围

ELISA

样品类型

Plasma, Serum, Tissue Homogenate
  • 最低检测浓度

    0.62 ng/mL

    原理

    For quantitative detection in serum, plasma, tissue homogenates and other biological fluids.

    Analytical Method

    Quantitative

    特异性

    Ddit3/CEBP zeta/CHOP/CHOP10/C,EBP-homologous protein/C,EBP-homologous protein 10/CCAAT,enhancer-binding protein homologous protein/CHOP-10/CHOP10 CEBPZ/CHOPC,EBP zeta/DDIT-3/GADD153/Growth arrest and DNA damage-inducible protein GADD153

    灵敏度

    0.375 ng/mL

    组件

    - ELISA Microplate
    - Lyophilized Standard
    - Sample / Standard Dilution Buffer
    - Biotin-labeled Antibody (Concentrated)
    - Antibody Dilution Buffer
    - HRP-Streptavidin Conjugate(SABC)
    - SABC Dilution Buffer
    - TMB Substrate
    - Stop Solution
    - Wash Buffer (25X)
    - Plate Sealer
    - Product Description
  • 应用备注

    Optimal working dilution should be determined by the investigator.

    说明

    Competitive ELISA, Coated with Antigen

    样本量

    50 μL

    板类型

    Pre-coated

    限制

    仅限研究用
  • 储存条件

    4 °C

    储存方法

    4 °C for 6 months

    有效期

    6 months
  • 抗原 See all DDIT3 ELISA试剂盒

    DDIT3 (DNA-Damage-Inducible Transcript 3 (DDIT3))

    别名

    Ddit3

    背景

    Ddit3/CEBP zeta/CHOP/CHOP10/C,EBP-homologous protein/C,EBP-homologous protein 10/CCAAT,enhancer-binding protein homologous protein/CHOP-10/CHOP10 CEBPZ/CHOPC,EBP zeta/DDIT-3/GADD153/Growth arrest and DNA damage-inducible protein GADD153

    UniProt

    Q62857

    途径

    Regulation of Muscle Cell Differentiation, ER-Nucleus Signaling, Skeletal Muscle Fiber Development, Cell RedoxHomeostasis
You are here: