GOT1 ELISA 试剂盒
Our Local Distributor
北京 101111
Quick Overview for GOT1 ELISA 试剂盒 (ABIN5524174)
抗原
See all GOT1 ELISA试剂盒适用
检测方法
实验类型
检测范围
应用范围
样品类型
-
-
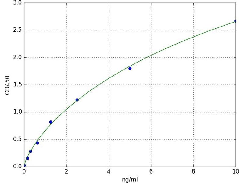
最低检测浓度
- 0.156 ng/mL
-
原理
- For quantitative detection of AST in serum, plasma, tissue homogenates.
-
Analytical Method
- Quantitative
-
特异性
- This assay has high sensitivity and excellent specificity for detection of AST. No significant cross-reactivity or interference between AST and analogues was observed. Note: Limited by current skills and knowledge, it is difficult for us to complete the cross-reactivity detection between AST and all the analogues, therefore, cross reaction may still exist.
-
灵敏度
- 0.094 ng/mL
-
组件
-
- ELISA Microplate
- Lyophilized Standard
- Sample / Standard Dilution Buffer
- Biotin-labeled Antibody (Concentrated)
- Antibody Dilution Buffer
- HRP-Streptavidin Conjugate(SABC)
- SABC Dilution Buffer
- TMB Substrate
- Stop Solution
- Wash Buffer (25X)
- Plate Sealer
- Product Description
-
-
-
-
应用备注
- Optimal working dilution should be determined by the investigator.
-
说明
-
Sandwich ELISA, Double Antibody
-
样本量
- 100 μL
-
板类型
- Pre-coated
-
限制
- 仅限研究用
-
-
-
储存条件
- 4 °C
-
储存方法
-
- For unopened kit: All the reagents should be kept according to the labels on vials. The Reference Standard and the 96-well stripe plate should be stored at -20 °C upon receipt while the other reagents should be stored at 4 °C.
- For used kit: When the kit is used, the remaining reagents need to be stored according to the above storage condition. Besides, please return the unused wells to the foil pouch containing the desiccant pack, and zip-seal the foil pouch.
-
有效期
- 6 months
-
-
- GOT1 (Glutamic-Oxaloacetic Transaminase 1, Soluble (Aspartate Aminotransferase 1) (GOT1))
-
别名
- Aspartate Aminotransferase
-
背景
- AST
-
途径
- Hepatitis C, Monocarboxylic Acid Catabolic Process, Methionine Biosynthetic Process
抗原 See all GOT1 ELISA试剂盒
-