GRP78 ELISA 试剂盒
Our Local Distributor
北京 101111
Quick Overview for GRP78 ELISA 试剂盒 (ABIN5523858)
抗原
See all GRP78 (HSPA5) ELISA试剂盒适用
检测方法
实验类型
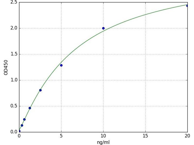
检测范围
应用范围
样品类型
-
-
最低检测浓度
- 0.31 ng/mL
-
原理
- For quantitative detection in serum, plasma, tissue homogenates and other biological fluids.
-
Analytical Method
- Quantitative
-
特异性
- Hspa5/GRP-78/Grp78/Steroidogenesis-activator polypeptide/Heat shock 70 kDa protein 5/Immunoglobulin heavy chain-binding protein(BiP)
-
灵敏度
- 0.188 ng/mL
-
组件
-
- ELISA Microplate
- Lyophilized Standard
- Sample / Standard Dilution Buffer
- Biotin-labeled Antibody (Concentrated)
- Antibody Dilution Buffer
- HRP-Streptavidin Conjugate(SABC)
- SABC Dilution Buffer
- TMB Substrate
- Stop Solution
- Wash Buffer (25X)
- Plate Sealer
- Product Description
-
-
-
-
应用备注
- Optimal working dilution should be determined by the investigator.
-
说明
-
Sandwich ELISA, Double Antibody
-
样本量
- 100 μL
-
板类型
- Pre-coated
-
限制
- 仅限研究用
-
-
-
储存条件
- 4 °C
-
储存方法
- 4 °C for 6 months
-
有效期
- 6 months
-
-
- GRP78 (HSPA5) (Heat Shock 70kDa Protein 5 (Glucose-Regulated Protein, 78kDa) (HSPA5))
-
别名
- Hspa5
-
背景
- Hspa5/GRP-78/Grp78/Steroidogenesis-activator polypeptide/Heat shock 70 kDa protein 5/Immunoglobulin heavy chain-binding protein(BiP)
-
UniProt
- P06761
-
途径
- Thyroid Hormone Synthesis, ER-Nucleus Signaling
抗原 See all GRP78 (HSPA5) ELISA试剂盒
-