电话:
+86 (0512) 65829739
传真:
+86 (010) 6788 5057
电子邮件:
orders@antibodies-online.cn

GFAP ELISA 试剂盒

大鼠 GFAP ELISA Kit, Colorimetric is an assay for quantification of 大鼠 GFAP, that has been mentioned in 1 publication.
产品编号 ABIN5523651
发货至: 中国
Contact our Customer Service for availability and price in your country. Contact Info

Our Local Distributor

中国
北京 101111
No. 88 KeChuang 6th Street
Beijing Economic Technological Development Area
Room 801-803
4A Biotech Co.,Ltd.
Tel +86 (0512) 65829739 传真 +86 (010) 6788 5057

Quick Overview for GFAP ELISA 试剂盒 (ABIN5523651)

抗原

See all GFAP ELISA试剂盒
GFAP (Glial Fibrillary Acidic Protein (GFAP))

适用

  • 8
  • 7
  • 6
  • 3
  • 3
  • 2
  • 1
  • 1
  • 1
  • 1
  • 1
  • 1
大鼠

检测方法

Colorimetric

实验类型

Sandwich ELISA

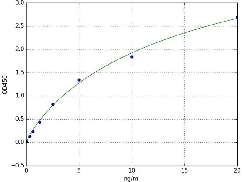
检测范围

0.31 ng/mL - 20 ng/mL

应用范围

ELISA

样品类型

Plasma, Serum, Tissue Homogenate
  • 最低检测浓度

    0.31 ng/mL

    原理

    For quantitative detection in serum, plasma, tissue homogenates and other biological fluids.

    Analytical Method

    Quantitative

    特异性

    Gfap/FLJ45472/glial fibrillary acidic protein

    灵敏度

    0.188 ng/mL

    组件

    - ELISA Microplate
    - Lyophilized Standard
    - Sample / Standard Dilution Buffer
    - Biotin-labeled Antibody (Concentrated)
    - Antibody Dilution Buffer
    - HRP-Streptavidin Conjugate(SABC)
    - SABC Dilution Buffer
    - TMB Substrate
    - Stop Solution
    - Wash Buffer (25X)
    - Plate Sealer
    - Product Description
  • 应用备注

    Optimal working dilution should be determined by the investigator.

    说明

    Sandwich ELISA, Double Antibody

    样本量

    100 μL

    板类型

    Pre-coated

    限制

    仅限研究用
  • 储存条件

    4 °C

    储存方法

    4 °C for 6 months

    有效期

    6 months
  • Mohd Sairazi, Sirajudeen, Muzaimi, Mummedy, Asari, Sulaiman: "Tualang Honey Reduced Neuroinflammation and Caspase-3 Activity in Rat Brain after Kainic Acid-Induced Status Epilepticus." in: Evidence-based complementary and alternative medicine : eCAM, Vol. 2018, pp. 7287820, (2018) (PubMed).

  • 抗原 See all GFAP ELISA试剂盒

    GFAP (Glial Fibrillary Acidic Protein (GFAP))

    别名

    Gfap

    背景

    Gfap/FLJ45472/glial fibrillary acidic protein

    UniProt

    P47819
You are here: