电话:
+86 (0512) 65829739
传真:
+86 (010) 6788 5057
电子邮件:
orders@antibodies-online.cn

NFkB ELISA 试剂盒

This Colorimetric ELISA kit is designed for the quantitative measurement of 大鼠 NFkB. There is 1 publication available.
产品编号 ABIN5523538
发货至: 中国
Contact our Customer Service for availability and price in your country. Contact Info

Our Local Distributor

中国
北京 101111
No. 88 KeChuang 6th Street
Beijing Economic Technological Development Area
Room 801-803
4A Biotech Co.,Ltd.
Tel +86 (0512) 65829739 传真 +86 (010) 6788 5057

Quick Overview for NFkB ELISA 试剂盒 (ABIN5523538)

抗原

See all NFkB ELISA试剂盒
NFkB (Nuclear Factor kappa B (NFkB))

适用

  • 8
  • 6
  • 4
  • 3
  • 3
  • 3
  • 2
  • 2
  • 2
  • 2
  • 2
  • 2
大鼠

检测方法

Colorimetric

实验类型

Sandwich ELISA

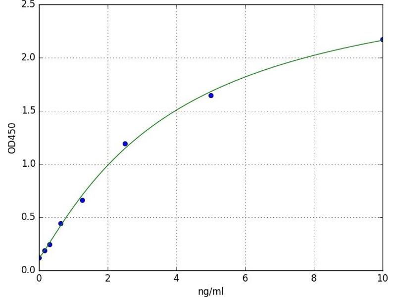
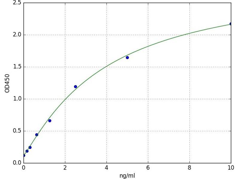
检测范围

0.15 ng/mL - 10 ng/mL

应用范围

ELISA

样品类型

Plasma, Serum, Tissue Homogenate
  • 最低检测浓度

    0.15 ng/mL

    原理

    For quantitative detection in serum, plasma, tissue homogenates and other biological fluids.

    Analytical Method

    Quantitative

    特异性

    NF-κB

    灵敏度

    0.094 ng/mL

    组件

    - ELISA Microplate
    - Lyophilized Standard
    - Sample / Standard Dilution Buffer
    - Biotin-labeled Antibody (Concentrated)
    - Antibody Dilution Buffer
    - HRP-Streptavidin Conjugate(SABC)
    - SABC Dilution Buffer
    - TMB Substrate
    - Stop Solution
    - Wash Buffer (25X)
    - Plate Sealer
    - Product Description
  • 应用备注

    Optimal working dilution should be determined by the investigator.

    说明

    Sandwich ELISA, Double Antibody

    样本量

    100 μL

    板类型

    Pre-coated

    限制

    仅限研究用
  • 储存条件

    4 °C

    储存方法

    4 °C for 6 months

    有效期

    6 months
  • Jana, Maity, Perveen, Dash, Jana, Dey, De, Chattopadhyay et al.: "Attenuation of utero-toxicity, metabolic dysfunction and inflammation by soy protein concentrate in rats exposed to fluoridated water: consequence of hyperlipidemia in parallel with ..." in: Environmental science and pollution research international, Vol. 25, Issue 36, pp. 36462-36473, (2019) (PubMed).

  • 抗原 See all NFkB ELISA试剂盒

    NFkB (Nuclear Factor kappa B (NFkB))

    别名

    NF-kappaB

    背景

    NF-κB

    途径

    Ubiquitin Proteasome Pathway, S100 Proteins
You are here: