电话:
+86 (0512) 65829739
传真:
+86 (010) 6788 5057
电子邮件:
orders@antibodies-online.cn

HbA1c ELISA 试剂盒

This Colorimetric ELISA kit is designed for the quantitative measurement of 大鼠 HbA1c. There is 1 publication available.
产品编号 ABIN5523355
发货至: 中国
Contact our Customer Service for availability and price in your country. Contact Info

Our Local Distributor

中国
北京 101111
No. 88 KeChuang 6th Street
Beijing Economic Technological Development Area
Room 801-803
4A Biotech Co.,Ltd.
Tel +86 (0512) 65829739 传真 +86 (010) 6788 5057

Quick Overview for HbA1c ELISA 试剂盒 (ABIN5523355)

抗原

See all HbA1c ELISA试剂盒
HbA1c (Glycated Hemoglobin HbA1c (HbA1c))

适用

  • 9
  • 7
  • 7
  • 1
  • 1
  • 1
  • 1
  • 1
  • 1
  • 1
  • 1
  • 1
大鼠

检测方法

Colorimetric

实验类型

Sandwich ELISA

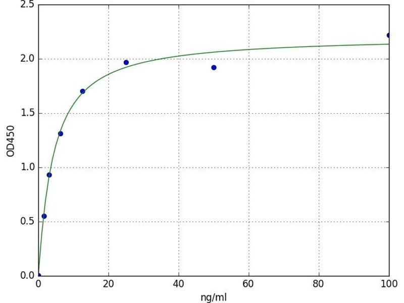
检测范围

1.56 ng/mL - 100 ng/mL

应用范围

ELISA

样品类型

Plasma, Serum, Tissue Homogenate
  • 最低检测浓度

    1.56 ng/mL

    原理

    For quantitative detection in serum, plasma, tissue homogenates and other biological fluids.

    Analytical Method

    Quantitative

    特异性

    HbA1C/Glycosylated Hemoglobin/Hemoglobin A1c

    灵敏度

    0.938 ng/mL

    组件

    - ELISA Microplate
    - Lyophilized Standard
    - Sample / Standard Dilution Buffer
    - Biotin-labeled Antibody (Concentrated)
    - Antibody Dilution Buffer
    - HRP-Streptavidin Conjugate(SABC)
    - SABC Dilution Buffer
    - TMB Substrate
    - Stop Solution
    - Wash Buffer (25X)
    - Plate Sealer
    - Product Description
  • 应用备注

    Optimal working dilution should be determined by the investigator.

    说明

    Sandwich ELISA, Double Antibody

    样本量

    100 μL

    板类型

    Pre-coated

    限制

    仅限研究用
  • 储存条件

    4 °C

    储存方法

    4 °C for 6 months

    有效期

    6 months
  • Balaha, Kandeel, Kabel: "Phloretin either alone or in combination with duloxetine alleviates the STZ-induced diabetic neuropathy in rats." in: Biomedicine & pharmacotherapy, Vol. 101, pp. 821-832, (2018) (PubMed).

  • 抗原 See all HbA1c ELISA试剂盒

    HbA1c (Glycated Hemoglobin HbA1c (HbA1c))

    别名

    HbA1C

    背景

    HbA1C/Glycosylated Hemoglobin/Hemoglobin A1c

    UniProt

    P01946
You are here: