电话:
+86 (0512) 65829739
传真:
+86 (010) 6788 5057
电子邮件:
orders@antibodies-online.cn

ACA-IgM ELISA 试剂盒

小鼠 ACA-IgM ELISA Kit, Colorimetric is an assay for quantification of 小鼠 ACA-IgM.
产品编号 ABIN5522880
发货至: 中国
Contact our Customer Service for availability and price in your country. Contact Info

Our Local Distributor

中国
北京 101111
No. 88 KeChuang 6th Street
Beijing Economic Technological Development Area
Room 801-803
4A Biotech Co.,Ltd.
Tel +86 (0512) 65829739 传真 +86 (010) 6788 5057

Quick Overview for ACA-IgM ELISA 试剂盒 (ABIN5522880)

抗原

See all ACA-IgM products
ACA-IgM (Anti-Cardiolipin Antibody IgM (ACA-IgM))

适用

  • 1
  • 1
小鼠

检测方法

Colorimetric

实验类型

Sandwich ELISA

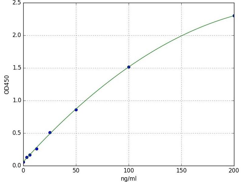
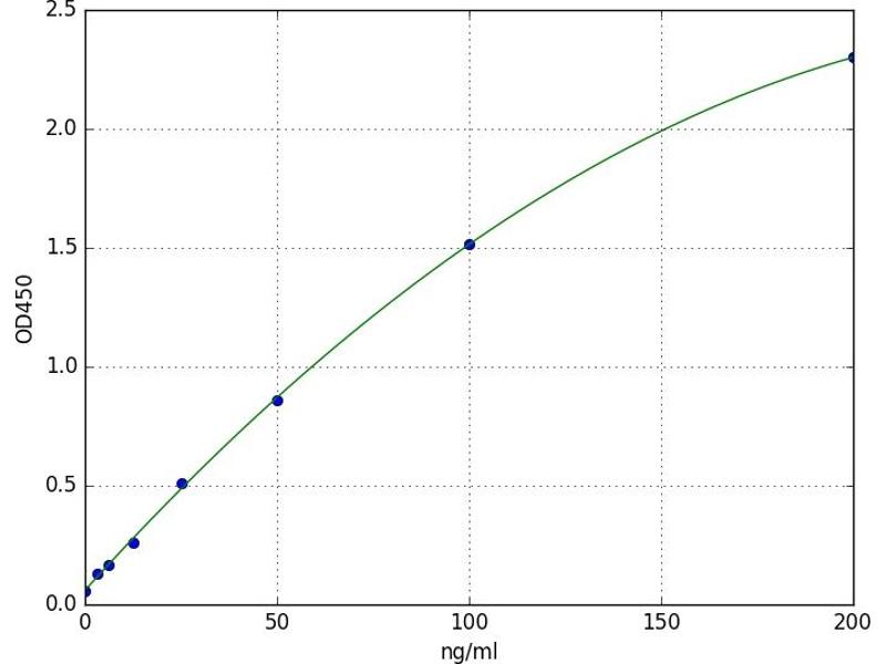
检测范围

3.125 ng/mL - 200 ng/mL

应用范围

ELISA

样品类型

Plasma, Serum, Tissue Homogenate
  • 最低检测浓度

    3.125 ng/mL

    原理

    For quantitative detection of ACA-IgM in serum, plasma, tissue homogenates.

    Analytical Method

    Quantitative

    特异性

    This assay has high sensitivity and excellent specificity for detection of ACA-IgM. No significant cross- reactivity or interference between ACA-IgM and analogues was observed. Note: Limited by current skills and knowledge, it is difficult for us to complete the cross-reactivity detection between ACA-IgM and all the analogues, therefore, cross reaction may still exist.

    灵敏度

    1.875 ng/mL

    组件

    - ELISA Microplate
    - Lyophilized Standard
    - Sample / Standard Dilution Buffer
    - Biotin-labeled Antibody (Concentrated)
    - Antibody Dilution Buffer
    - HRP-Streptavidin Conjugate(SABC)
    - SABC Dilution Buffer
    - TMB Substrate
    - Stop Solution
    - Wash Buffer (25X)
    - Plate Sealer
    - Product Description

    试剂未包括

    - Microplate reader (wavelength: 450nm)
    - 37 °C incubator
    - Automated plate washer
    - Precision single and multi-channel pipette and disposable tips
    - Clean tubes and Eppendorf tubes
    - Deionized or distilled water
  • 应用备注

    Optimal working dilution should be determined by the investigator.

    说明

    Sandwich ELISA, Double Antigen

    样本量

    100 μL

    板类型

    Pre-coated

    限制

    仅限研究用
  • 储存条件

    4 °C

    储存方法

    1. For unopened kit: All the reagents should be kept according to the labels on vials. The Reference Standard and the 96-well stripe plate should be stored at -20 °C upon receipt while the other reagents should be stored at 4 °C.
    2. For used kit: When the kit is used, the remaining reagents need to be stored according to the above storage condition. Besides, please return the unused wells to the foil pouch containing the desiccant pack, and zip-seal the foil pouch.

    有效期

    6 months
  • 抗原 See all ACA-IgM products

    ACA-IgM (Anti-Cardiolipin Antibody IgM (ACA-IgM))

    别名

    Anti-Cardiolipin Antibody IgM

    物质类

    Antibody

    背景

    ACA-IgM/anti-Cardiolipin Antibody IgM
You are here: