电话:
+86 (0512) 65829739
传真:
+86 (010) 6788 5057
电子邮件:
orders@antibodies-online.cn

AMPK alpha ELISA 试剂盒

The 大鼠 AMPK alpha ELISA Kit (ABIN5522801) is a Colorimetric ELISA Kit designed to quantify 大鼠 AMPK alpha.
产品编号 ABIN5522801
发货至: 中国
Contact our Customer Service for availability and price in your country. Contact Info

Our Local Distributor

中国
北京 101111
No. 88 KeChuang 6th Street
Beijing Economic Technological Development Area
Room 801-803
4A Biotech Co.,Ltd.
Tel +86 (0512) 65829739 传真 +86 (010) 6788 5057

Quick Overview for AMPK alpha ELISA 试剂盒 (ABIN5522801)

抗原

See all AMPK alpha (SNF1A) ELISA试剂盒
AMPK alpha (SNF1A) (SNF1A/AMP-Activated Protein Kinase (SNF1A))

适用

  • 4
  • 3
  • 3
大鼠

检测方法

Colorimetric

实验类型

Sandwich ELISA

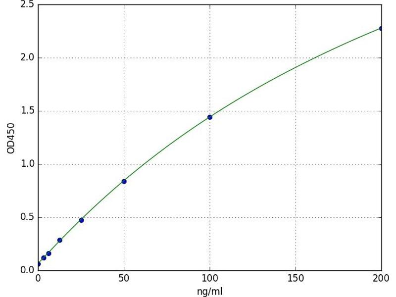
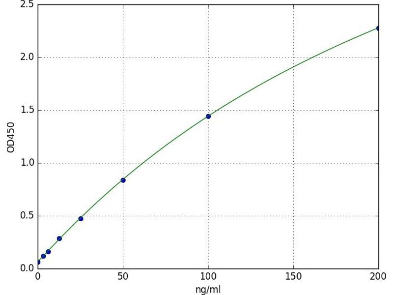
检测范围

3.12 ng/mL - 200 ng/mL

应用范围

ELISA

样品类型

Plasma, Serum, Tissue Homogenate
  • 最低检测浓度

    3.12 ng/mL

    原理

    For quantitative detection in serum, plasma, tissue homogenates and other biological fluids.

    Analytical Method

    Quantitative

    特异性

    AMPK

    灵敏度

    1.875 ng/mL

    组件

    - ELISA Microplate
    - Lyophilized Standard
    - Sample / Standard Dilution Buffer
    - Biotin-labeled Antibody (Concentrated)
    - Antibody Dilution Buffer
    - HRP-Streptavidin Conjugate(SABC)
    - SABC Dilution Buffer
    - TMB Substrate
    - Stop Solution
    - Wash Buffer (25X)
    - Plate Sealer
    - Product Description
  • 应用备注

    Optimal working dilution should be determined by the investigator.

    说明

    Sandwich ELISA, Double Antibody

    样本量

    100 μL

    板类型

    Pre-coated

    限制

    仅限研究用
  • 储存条件

    4 °C

    储存方法

    4 °C for 6 months

    有效期

    6 months
  • 抗原 See all AMPK alpha (SNF1A) ELISA试剂盒

    AMPK alpha (SNF1A) (SNF1A/AMP-Activated Protein Kinase (SNF1A))

    别名

    AMPK

    背景

    AMPK

    UniProt

    Q09137

    途径

    Warburg Effect
You are here: