电话:
+86 (0512) 65829739
传真:
+86 (010) 6788 5057
电子邮件:
orders@antibodies-online.cn

NOS2 ELISA 试剂盒

This Colorimetric ELISA kit is designed for the quantitative measurement of 小鼠 NOS2.
产品编号 ABIN5522467
发货至: 中国
Contact our Customer Service for availability and price in your country. Contact Info

Our Local Distributor

中国
北京 101111
No. 88 KeChuang 6th Street
Beijing Economic Technological Development Area
Room 801-803
4A Biotech Co.,Ltd.
Tel +86 (0512) 65829739 传真 +86 (010) 6788 5057

Quick Overview for NOS2 ELISA 试剂盒 (ABIN5522467)

抗原

See all NOS2 ELISA试剂盒
NOS2 (Nitric Oxide Synthase 2, Inducible (NOS2))

适用

  • 11
  • 7
  • 6
  • 3
  • 3
  • 2
  • 2
  • 2
  • 1
  • 1
  • 1
  • 1
小鼠

检测方法

Colorimetric

实验类型

Sandwich ELISA

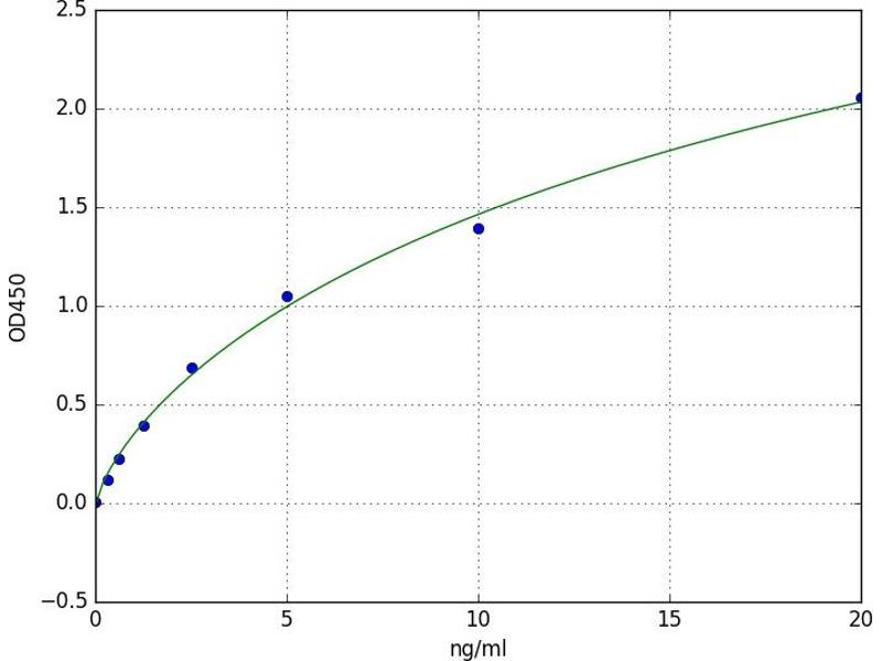
检测范围

0.313 ng/mL - 20 ng/mL

应用范围

ELISA

样品类型

Plasma, Serum, Tissue Homogenate
  • 最低检测浓度

    0.313 ng/mL

    原理

    For quantitative detection of NOS2/iNOS in serum, plasma, tissue homogenates.

    Analytical Method

    Quantitative

    特异性

    This assay has high sensitivity and excellent specificity for detection of NOS2/iNOS. No significant cross- reactivity or interference between NOS2/iNOS and analogues was observed. Note: Limited by current skills and knowledge, it is difficult for us to complete the cross-reactivity detection between NOS2/iNOS and all the analogues, therefore, cross reaction may still exist.

    灵敏度

    0.188 ng/mL

    组件

    - ELISA Microplate
    - Lyophilized Standard
    - Sample / Standard Dilution Buffer
    - Biotin-labeled Antibody (Concentrated)
    - Antibody Dilution Buffer
    - HRP-Streptavidin Conjugate(SABC)
    - SABC Dilution Buffer
    - TMB Substrate
    - Stop Solution
    - Wash Buffer (25X)
    - Plate Sealer
    - Product Description
  • 应用备注

    Optimal working dilution should be determined by the investigator.

    说明

    Sandwich ELISA, Double Antibody

    样本量

    100 μL

    板类型

    Pre-coated

    限制

    仅限研究用
  • 储存条件

    4 °C

    储存方法

    1. For unopened kit: All the reagents should be kept according to the labels on vials. The Reference Standard and the 96-well stripe plate should be stored at -20 °C upon receipt while the other reagents should be stored at 4 °C.
    2. For used kit: When the kit is used, the remaining reagents need to be stored according to the above storage condition. Besides, please return the unused wells to the foil pouch containing the desiccant pack, and zip-seal the foil pouch.

    有效期

    6 months
  • 抗原 See all NOS2 ELISA试剂盒

    NOS2 (Nitric Oxide Synthase 2, Inducible (NOS2))

    别名

    NOS2/iNOS

    背景

    NOS2/iNOS/NOS2A/HEP-NOS/I-NOS/Hepatocyte NOS/Peptidyl-cysteine S-nitrosylase NOS2/Inducible NO synthase/Inducible NOS/INOS/NOS/NOS, type II/NOS type II

    UniProt

    P29477

    途径

    Retinoic Acid Receptor Signaling Pathway, Cellular Response to Molecule of Bacterial Origin, Inositol Metabolic Process, Regulation of Leukocyte Mediated Immunity, Positive Regulation of Immune Effector Process
You are here: