电话:
+86 (0512) 65829739
传真:
+86 (010) 6788 5057
电子邮件:
orders@antibodies-online.cn

8-Hydroxydeoxyguanosine ELISA 试剂盒

This Colorimetric ELISA kit is designed for the quantitative measurement of Various Species 8-Hydroxydeoxyguanosine. There is 1 publication available.
产品编号 ABIN5519689
发货至: 中国
Contact our Customer Service for availability and price in your country. Contact Info

Our Local Distributor

中国
北京 101111
No. 88 KeChuang 6th Street
Beijing Economic Technological Development Area
Room 801-803
4A Biotech Co.,Ltd.
Tel +86 (0512) 65829739 传真 +86 (010) 6788 5057

Quick Overview for 8-Hydroxydeoxyguanosine ELISA 试剂盒 (ABIN5519689)

抗原

See all 8-Hydroxydeoxyguanosine products
8-Hydroxydeoxyguanosine

适用

  • 3
  • 3
  • 2
  • 2
  • 1
Various Species

检测方法

Colorimetric

实验类型

Competition ELISA

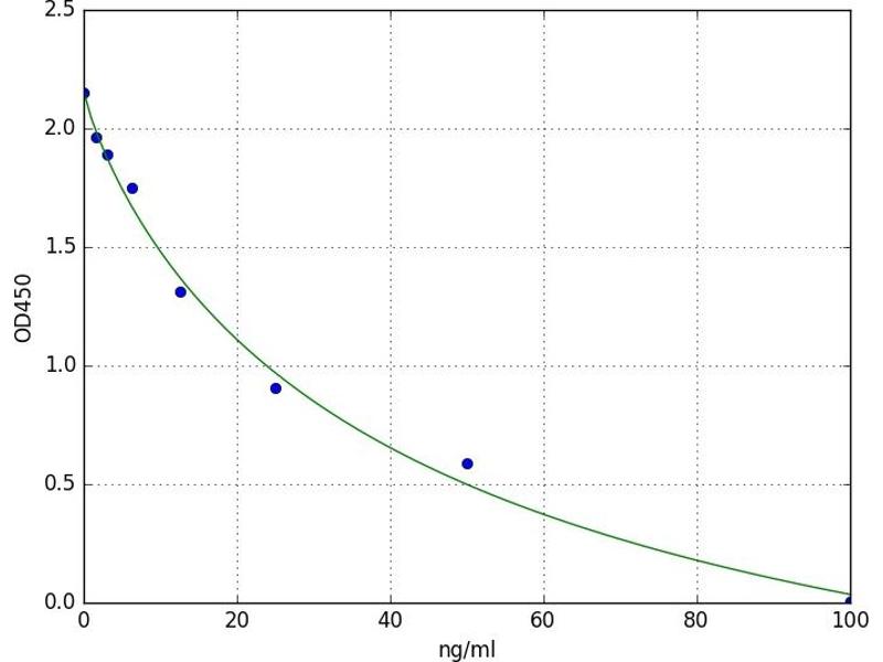
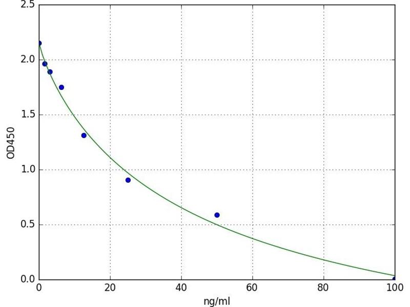
检测范围

1.56 ng/mL - 100 ng/mL

应用范围

ELISA

样品类型

Plasma, Serum, Tissue Homogenate
  • 最低检测浓度

    1.56 ng/mL

    原理

    For quantitative detection in serum, plasma, tissue homogenates and other biological fluids.

    Analytical Method

    Quantitative

    特异性

    8-OHdG(8-Hydroxydeoxyguanosine)

    灵敏度

    0.938 ng/mL

    组件

    - ELISA Microplate
    - Lyophilized Standard
    - Sample / Standard Dilution Buffer
    - Biotin-labeled Antibody (Concentrated)
    - Antibody Dilution Buffer
    - HRP-Streptavidin Conjugate(SABC)
    - SABC Dilution Buffer
    - TMB Substrate
    - Stop Solution
    - Wash Buffer (25X)
    - Plate Sealer
    - Product Description
  • 应用备注

    Optimal working dilution should be determined by the investigator.

    说明

    Competitive ELISA, Coated with Antigen

    样本量

    50 μL

    板类型

    Pre-coated

    限制

    仅限研究用
  • 储存条件

    4 °C

    储存方法

    4 °C for 6 months

    有效期

    6 months
  • Nour Eldin, El-Readi, Nour Eldein, Alfalki, Althubiti, Mohamed Kamel, Eid, Al-Amodi, Mirza: "8-Hydroxy-2'-deoxyguanosine as a Discriminatory Biomarker for Early Detection of Breast Cancer." in: Clinical breast cancer, (2018) (PubMed).

  • 抗原 See all 8-Hydroxydeoxyguanosine products

    8-Hydroxydeoxyguanosine

    物质类

    Chemical

    背景

    8-OHdG(8-Hydroxydeoxyguanosine)
You are here: