电话:
+86 (0512) 65829739
传真:
+86 (010) 6788 5057
电子邮件:
orders@antibodies-online.cn

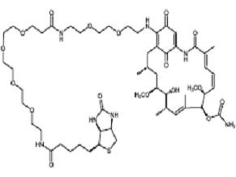
Geldanamycin- Biotin

Inh 30562-34-6 (4E,6Z,8S,9S,10E,12S,13R,14S,16R)-13-hydroxy-8,14,19-trimethoxy-4,10,12,16-tetramethyl-3,20,22-trioxo-2-azabicyclo[16.3.1] docosa-1(21),4,6,10,18-pentaen-9-yl carbamate
产品编号 ABIN1027733
发货至: 中国
Contact our Customer Service for availability and price in your country. Contact Info

Our Local Distributor

中国
北京 101111
No. 88 KeChuang 6th Street
Beijing Economic Technological Development Area
Room 801-803
4A Biotech Co.,Ltd.
Tel +86 (0512) 65829739 传真 +86 (010) 6788 5057

Quick Overview for Geldanamycin- Biotin (ABIN1027733)

应用范围

Inhibition (Inh)

Chemical Name

(4E,6Z,8S,9S,10E,12S,13R,14S,16R)-13-hydroxy-8,14,19-trimethoxy-4,10,12,16-tetramethyl-3,20,22-trioxo-2-azabicyclo[16.3.1] docosa-1(21),4,6,10,18-pentaen-9-yl carbamate
  • 原理

    Hsp90 inhibitor

    特异性

    Geldanamycin is a benzoquinoid ansamycin produced by Streptomyces hygroscopicus. It binds specifically to heat shock protein HSP90 and downregulates target proteins including tyrosine kinases, steroid receptors, transcription factors and cell cycle regulatory kinases. It induces the inactivation, destabilization and eventual degradation of HIF-1alpha. This is specifically a novel geldanamycin fluorescent probe that may be used in a fluorescence polarization assay for Hsp90 inhibitors. May also be used for detection of cell surface Hsp90. Other geldanamycin fluorophores (BODPY) have been reported and used in FP HTS assays.

    产品特性

    Hsp90 inhibitor.

    纯度

    >98 %

    Formula

    C55H87N7O17S

    Solubility

    Soluble in DMSO
  • 说明

    Source: Synthetic.
    Appearance: Purple Solid

    限制

    仅限研究用
  • 状态

    Solid

    注意事项

    Classification: Harmful. May be harmful if inhaled, swallowed or absorbed through skin. Safety Phrases: S22 - Do not breathe dust S24/25 - Avoid contact with skin and eyes S36/37/39 - Wear suitable protective clothing, gloves and eye/face protection Risk Phrases: R68- Possible risk of irreversible effects

    注意事项

    Classification: Harmful. May be harmful if inhaled, swallowed or absorbed through skin. Safety Phrases: S22 - Do not breathe dust S24/25 - Avoid contact with skin and eyes S36/37/39 - Wear suitable protective clothing, gloves and eye/face protection Risk Phrases: R68- Possible risk of irreversible effects

    储存条件

    -20 °C
  • 分子量

    560.6

    CAS-编号

    30562-34-6
You are here: