电话:
+86 (0512) 65829739
传真:
+86 (010) 6788 5057
电子邮件:
orders@antibodies-online.cn

ASTL ELISA试剂盒

(Astacin-Like Metallo-Endopeptidase (M12 Family) (ASTL))
Oocyte-specific oolemmal receptor involved in sperm and egg adhesion and fertilization. Plays a role in the polyspermy inhibition. Probably acts as a protease for the post-fertilization cleavage of ZP2. Cleaves the sperm-binding ZP2 at the surface of the zona pellucida after fertilization and cortical granule exocytosis, rendering the zona pellucida unable to support further sperm binding (By similarity).

1 results

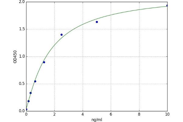
ASTL 适用: 人 Colorimetric Sandwich ELISA 0.156 ng/mL - 10 ng/mL Plasma, Serum, Tissue Homogenate
产品编号 ABIN6965041
96 tests
发货至: 中国
获取报价
 
  • 类型 Kit
    • Kit
  • 应用范围 ELISA
    • ELISA
  • 适用
    • Human
  • 图像
  • 实验类型
    • Sandwich ELISA
  • Analytical Method
    • Quantitative
  • 检测方法
    • Colorimetric
  • Plate
    • Pre-coated
  • 标记
    • 非结合性
  • 样本
    • Plasma
    • Serum
    • Tissue Homogenate
  • Supplier
    • antibodies-online

Aliases for ASTL ELISA试剂盒

astacin like metalloendopeptidase (ASTL) ELISA试剂盒
astacin-like metalloendopeptidase (M12 family) (Astl) ELISA试剂盒
7420700F21 ELISA试剂盒
C87576 ELISA试剂盒
Sas1b ELISA试剂盒
You are here: