电话:
+86 (0512) 65829739
传真:
+86 (010) 6788 5057
电子邮件:
orders@antibodies-online.cn

IL-4 抗体

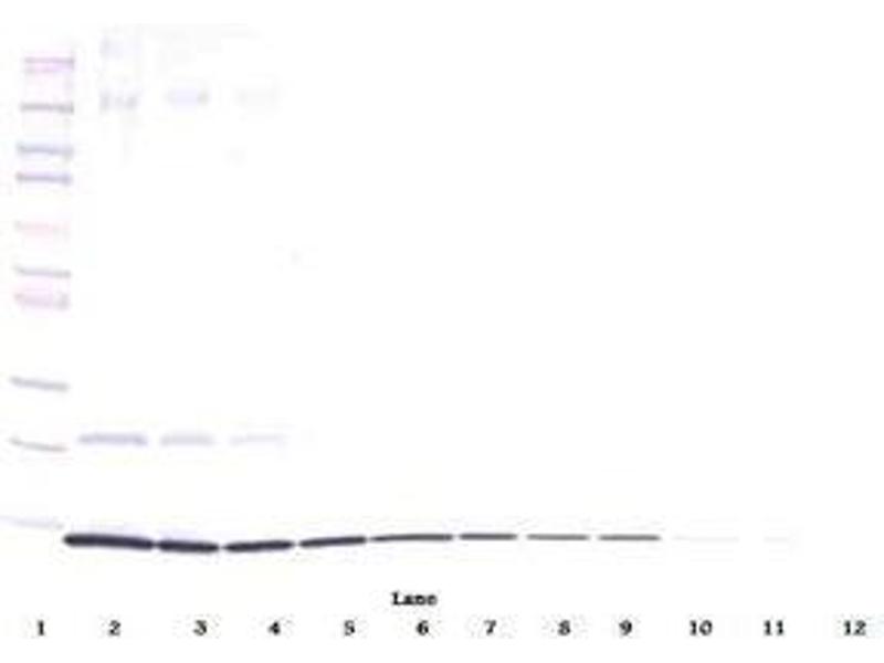
The 兔 多克隆 anti-IL-4 antibody is suitable to detect IL-4 in samples from 小鼠. It has been validated for WB, ELISA 和 Neut.
产品编号 ABIN465839
发货至: 中国
Contact our Customer Service for availability and price in your country. Contact Info

Our Local Distributor

中国
北京 101111
No. 88 KeChuang 6th Street
Beijing Economic Technological Development Area
Room 801-803
4A Biotech Co.,Ltd.
Tel +86 (0512) 65829739 传真 +86 (010) 6788 5057

Quick Overview for IL-4 抗体 (ABIN465839)

抗原

See all IL-4 (IL4) 抗体
IL-4 (IL4) (Interleukin 4 (IL4))

适用

  • 170
  • 70
  • 28
  • 14
  • 13
  • 12
  • 11
  • 9
  • 9
  • 7
  • 5
  • 4
  • 3
  • 3
  • 3
  • 3
  • 2
  • 1
  • 1
小鼠

宿主

  • 127
  • 85
  • 71
  • 8
  • 3
  • 2
  • 1

克隆类型

  • 181
  • 113
  • 2
多克隆

标记

  • 162
  • 37
  • 18
  • 18
  • 14
  • 6
  • 3
  • 3
  • 3
  • 3
  • 3
  • 3
  • 2
  • 2
  • 2
  • 2
  • 2
  • 2
  • 2
  • 2
  • 2
  • 1
  • 1
  • 1
  • 1
  • 1
  • 1
This IL-4 antibody is un-conjugated

应用范围

  • 139
  • 127
  • 81
  • 74
  • 35
  • 34
  • 30
  • 22
  • 20
  • 13
  • 13
  • 11
  • 9
  • 8
  • 6
  • 4
  • 4
  • 3
  • 2
  • 2
  • 2
  • 2
  • 2
  • 2
  • 2
  • 1
  • 1
  • 1
  • 1
  • 1
  • 1
  • 1
  • 1
  • 1
  • 1
Western Blotting (WB), ELISA, Neutralization (Neut)
  • 特异性

    Mouse IL-4

    纯化方法

    Immunoaffinity purified

    免疫原

    E.coli derived recombinant Murine IL-4.

    Type of Immunogen: Cell extract
  • 应用备注

    Approved: ELISA (0.5 - 2 μg/mL), Neut (0.78 - 1.16 μg/mL), WB

    Usage: Neutralization: To yield one-half maximal inhibition [ND] of the biological activity of Murine IL-4 (5 ng/mL), a concentration of 0.78-1.16 μg/mL of this antibody is required. ELISA: To detect Murine IL-4 by sandwich ELISA (using 100 μL/well antibody solution) a concentration of 0.5-2 μg/mL of this antibody is required. This antigen affinity purified antibody, in conjunction with Biotinylated Anti-Murine IL-4 (LS-C104823) as a detection antibody, allows the detection of at least 0.2-0.4 ng/well of recombinant Murine IL-4. Western Blot: To detect Murine IL-4 by Western Blot analysis this antibody can be used at a concentration of 0.1-0.2 μg/mL. When used in conjunction with compatible secondary reagents, the detection limit for recombinant Murine IL-4 is 1.5-3 ng/lane, under either reducing or non-reducing conditions.

    说明

    Target Species of Antibody: Mouse

    限制

    仅限研究用
  • 状态

    Lyophilized

    溶解方式

    Sterile water

    浓度

    Lot specific

    缓冲液

    Lyophilized from PBS,  pH 7.2

    注意事项

    Avoid freeze/thaw cycles.

    储存条件

    4 °C,-20 °C

    储存方法

    Store Lyophilized at room temperature up to 1 month
    Reconstituted for up to 2 weeks at 2-8°C. Aliquot and freeze at -20°C for long term storage. Avoid freeze/thaw cycles.
  • 抗原

    IL-4 (IL4) (Interleukin 4 (IL4))

    别名

    IL4

    背景

    Name/Gene ID: IL4
    Family: Hormone

    Synonyms: IL4, B cell growth factor 1, B-cell stimulatory factor 1, B_cell stimulatory factor 1, BCGF1, BSF-1, Binetrakin, BCGF-1, Interleukin 4, Interleukin-4, Pitrakinra, BSF1, IL-4

    基因ID

    3565

    UniProt

    P05112

    途径

    JAK/STAT Signaling, Regulation of Leukocyte Mediated Immunity, Positive Regulation of Immune Effector Process, Production of Molecular Mediator of Immune Response, Proton Transport, Activated T Cell Proliferation
You are here: