电话:
+86 (0512) 65829739
传真:
+86 (010) 6788 5057
电子邮件:
orders@antibodies-online.cn

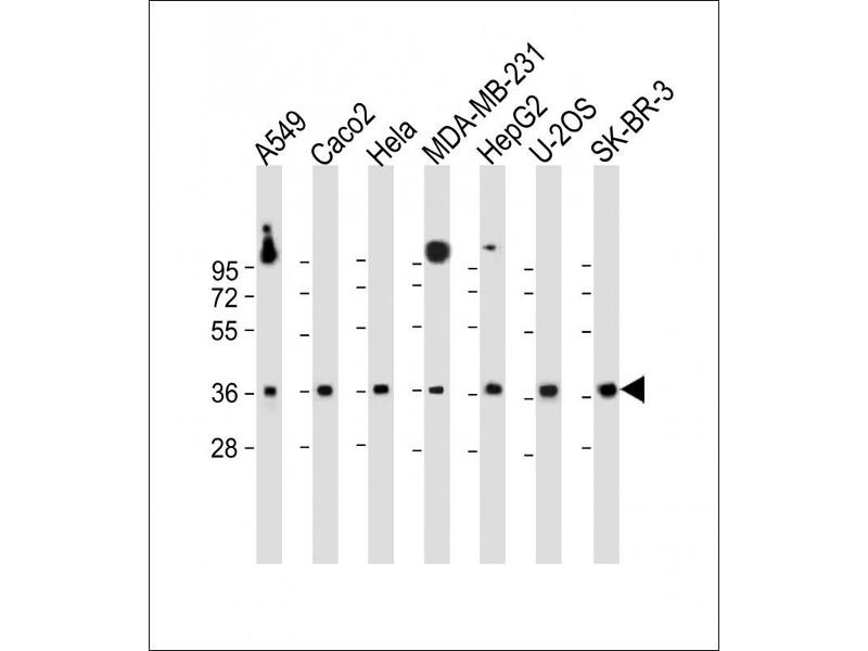
GATSL2 抗体 (N-Term)

This 兔 多克隆 antibody specifically detects GATSL2 in WB 和 IHC (p). It exhibits reactivity toward 人.
产品编号 ABIN1539214
发货至: 中国
Contact our Customer Service for availability and price in your country. Contact Info

Our Local Distributor

中国
北京 101111
No. 88 KeChuang 6th Street
Beijing Economic Technological Development Area
Room 801-803
4A Biotech Co.,Ltd.
Tel +86 (0512) 65829739 传真 +86 (010) 6788 5057

Quick Overview for GATSL2 抗体 (N-Term) (ABIN1539214)

抗原

GATSL2 (GATS Protein-Like 2 (GATSL2))

适用

宿主

  • 7

克隆类型

  • 7
多克隆

标记

  • 2
  • 1
  • 1
  • 1
  • 1
  • 1
This GATSL2 antibody is un-conjugated

应用范围

  • 7
  • 6
  • 1
Western Blotting (WB), Immunohistochemistry (Paraffin-embedded Sections) (IHC (p))

克隆位点

RB30525
  • 抗原表位

    AA 25-51, N-Term

    预测反应

    B, M, Rat, X

    纯化方法

    This antibody is purified through a protein A column, followed by peptide affinity purification.

    免疫原

    This GATSL2 antibody is generated from rabbits immunized with a KLH conjugated synthetic peptide between 25-51 amino acids from the N-terminal region of human GATSL2.

    亚型

    IgG
  • 应用备注

    WB: 1:1000. IHC-P-Leica: 1:250. IHC-P-Leica: 1:250

    限制

    仅限研究用
  • 状态

    Liquid

    缓冲液

    Purified polyclonal antibody supplied in PBS with 0.09 % (W/V) sodium azide.

    储存液

    Sodium azide

    注意事项

    This product contains Sodium azide: a POISONOUS AND HAZARDOUS SUBSTANCE which should be handled by trained staff only.

    储存条件

    4 °C,-20 °C

    储存方法

    GATSL1 Antibody (N-term) can be refrigerated at 2-8 °C for up to 6 months. For long term storage, keep at -20 °C.

    有效期

    6 months
  • 抗原

    GATSL2 (GATS Protein-Like 2 (GATSL2))

    别名

    GATSL2

    背景

    The function of this protein remains unknown.

    分子量

    36056

    基因ID

    389523

    UniProt

    A6NHX0
You are here: